Indice

Un breve sguardo storico di Brescia

Una passeggiata per le vie di Brescia

L'arco a tutto sesto

Circonferenza e cerchio

Arco a sesto acuto

Costruzione geometrica di un arco gotico

Circonferenza per tre punti

Arco a tutto sesto e un arco gotico equilatero

Un modo nuovo di vedere un arco gotico

Bifora

L'arbelo di Archimede

Archi trilobati

Costruzione di un arco trilobato

Uno strano arco trilobato in piazza Paolo VI

Tangente

Vicolo delle due torri

Arco polilobato

Il ritorno all'arco a tutto sesto

Leonardo da vinci e l'arco a tutto sesto

Arco a tutto sesto ribassato

Costruzione di un arco ribassato

Arco policentrico a tre centri

Costruzione di un arco policentrico a tre centri

Arco semiellittico

L'arco di via trieste รจ semiellittico o policentrico?

Costruzione di un arco semiellittico

Arco perfetto

Scala a chiocciola

Spirali

La spirale di Archimede

Costruzione approssimata di una spirale di Archimede

La spirale di Archimede e la progressione aritmetica

Due famosi problemi di geometria

La spirale meravigliosa

Frattali

Spirale logaritmica aurea

Spirali poligonali

Il problema dei quattro cani

L'illusione di James Fraser

Spirale iperbolica

Spirale di Fermat

Spirale di Lituus

Spirale di Cornu o clotoide

Volta a botte

Una superficie sviluppabile

Volta a crociera

Simmetria assiale

Simmetria assiale e specchi

Simmetria rotazionale

Simmetria assiale e rotazionale

Composizione di simmetrie

Composizione di simmetrie

Decorazioni nel santuario di S. Maria delle Grazie

Rosoni

Movimenti

Composizione di isometrie

Fregi

Tassellazioni regolari e semiregolari

Tassellazioni non regolari con poligoni convessi

La tassellazione come forma d'arte

Gli schemi delle tassellazioni

Studio di una pavimentazione

Tassellazioni e camera di specchi

L'arbelo di Archimede

La superficie racchiusa in una bifora a tutto sesto rappresenta un caso particolare di una superficie costituita da tre semicirconferenze. che è stata oggetto di studio da parte di Archimede. A questa figura Archimede impose il nome di arbelo (il termine arbelo indicava il trincetto da calzolaio).

La costruzione di questa figura è semplice: si traccia una semicirconferenza di diametro AB, si prende un punto qualsiasi C su AB e si descrivono le due semicirconferenze che hanno per diametro AC e CB interne alla semicirconferenza iniziale.

Quale proprietà particolare ha questa figura? Se conduciamo dal punto C la perpendicolare al segmento AB, questa incontra la semicirconferenza maggiore nel punto D e l'area dell'arbelo è equivalente all'area della del cerchio di diametro CD. Verifichiamolo.


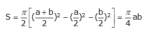
Se indichiamo con a la lunghezza di AC e con b quella di CB l'area S dell'arbelo è data dalla differenza tra l'area del semicerchio grande meno le aree dei semicerchi piccoli.

P align=justify>Indichiamo con c la lunghezza del segmento CD e tracciamo il triangolo ABD.


Questo triangolo è retto in D e DC rappresenta l'altezza relativa all'ipotenusa. Per il secondo teorema di Euclide si ha che l'altezza c è media proporzionale tra le proiezioni dei cateti sull'ipotenusa cioè c2=ab. Quindi l'area A del cerchio di diametro c è:


E come si può vedere le due aree sono equivalenti.

© giuseppe sarnataro