Indice

Un breve sguardo storico di Brescia

Una passeggiata per le vie di Brescia

L'arco a tutto sesto

Circonferenza e cerchio

Arco a sesto acuto

Costruzione geometrica di un arco gotico

Circonferenza per tre punti

Arco a tutto sesto e un arco gotico equilatero

Un modo nuovo di vedere un arco gotico

Bifora

L'arbelo di Archimede

Archi trilobati

Costruzione di un arco trilobato

Uno strano arco trilobato in piazza Paolo VI

Tangente

Vicolo delle due torri

Arco polilobato

Il ritorno all'arco a tutto sesto

Leonardo da vinci e l'arco a tutto sesto

Arco a tutto sesto ribassato

Costruzione di un arco ribassato

Arco policentrico a tre centri

Costruzione di un arco policentrico a tre centri

Arco semiellittico

L'arco di via trieste è semiellittico o policentrico?

Costruzione di un arco semiellittico

Arco perfetto

Scala a chiocciola

Spirali

La spirale di Archimede

Costruzione approssimata di una spirale di Archimede

La spirale di Archimede e la progressione aritmetica

Due famosi problemi di geometria

La spirale meravigliosa

Frattali

Spirale logaritmica aurea

Spirali poligonali

Il problema dei quattro cani

L'illusione di James Fraser

Spirale iperbolica

Spirale di Fermat

Spirale di Lituus

Spirale di Cornu o clotoide

Volta a botte

Una superficie sviluppabile

Volta a crociera

Simmetria assiale

Simmetria assiale e specchi

Simmetria rotazionale

Simmetria assiale e rotazionale

Composizione di simmetrie

Composizione di simmetrie

Decorazioni nel santuario di S. Maria delle Grazie

Rosoni

Movimenti

Composizione di isometrie

Fregi

Tassellazioni regolari e semiregolari

Tassellazioni non regolari con poligoni convessi

La tassellazione come forma d'arte

Gli schemi delle tassellazioni

Studio di una pavimentazione

Tassellazioni e camera di specchi

Arco a tutto sesto e un arco gotico equilatero

A parità di luce, confrontiamo la superficie racchiusa in un arco a tutto sesto con la superficie di un arco acuto equilatero.

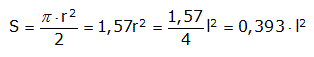
Consideriamo un arco a tutto sesto di data luce e indichiamo con f, r e l rispettivamente le misure della freccia, del raggio di curvatura e della luce.

La freccia e il raggio di curvatura sono uguali e sono la metà della luce. Il valore della superficie racchiusa dall'arco (consideriamo solo il semicerchio) è dato dalla formula:

Ora, consideriamo un arco a sesto acuto equilatero di data luce, e vediamo come variano il raggio, la freccia e la superficie dell'arco in funzione della misura della luce.

In questo caso, il raggio è uguale alla luce (r = l) e la freccia è uguale all'altezza del triangolo equilatero che ha per lato l. Calcoliamo il valore della freccia mediante il teorema di Pitagora:

L'area dell'arco è uguale all'area del settore circolare, (la parte colorata in rosa) più l'area del segmento circolare (la parte colorata in verde). L'angolo del settore circolare è di 60°, cioè è 1/6 dell'angolo giro e quindi l'area del settore circolare è uguale a 1/6 di quella del cerchio avente per raggio l.

Osservando la figura si vede che l'area del segmento circolare è data dall'area del settore circolare meno l'area del triangolo equilatero. Dato che il triangolo equilatero ha per base l e per altezza f si ha:

L'area dell'arco a sesto acuto equilatero è quindi, uguale a:

Il rapporto tra la superficie dell'arco a sesto acuto equilatero e quella dell'arco a tutto sesto è quindi uguale a:

In altre parole, l'arco a sesto acuto equilatero, a parità di luce, ha una superficie di 1,54 volte maggiore di quella dell'arco a tutto sesto.

© giuseppe sarnataro