Indice

Un breve sguardo storico di Brescia

Una passeggiata per le vie di Brescia

L'arco a tutto sesto

Circonferenza e cerchio

Arco a sesto acuto

Costruzione geometrica di un arco gotico

Circonferenza per tre punti

Arco a tutto sesto e un arco gotico equilatero

Un modo nuovo di vedere un arco gotico

Bifora

L'arbelo di Archimede

Archi trilobati

Costruzione di un arco trilobato

Uno strano arco trilobato in piazza Paolo VI

Tangente

Vicolo delle due torri

Arco polilobato

Il ritorno all'arco a tutto sesto

Leonardo da vinci e l'arco a tutto sesto

Arco a tutto sesto ribassato

Costruzione di un arco ribassato

Arco policentrico a tre centri

Costruzione di un arco policentrico a tre centri

Arco semiellittico

L'arco di via trieste รจ semiellittico o policentrico?

Costruzione di un arco semiellittico

Arco perfetto

Scala a chiocciola

Spirali

La spirale di Archimede

Costruzione approssimata di una spirale di Archimede

La spirale di Archimede e la progressione aritmetica

Due famosi problemi di geometria

La spirale meravigliosa

Frattali

Spirale logaritmica aurea

Spirali poligonali

Il problema dei quattro cani

L'illusione di James Fraser

Spirale iperbolica

Spirale di Fermat

Spirale di Lituus

Spirale di Cornu o clotoide

Volta a botte

Una superficie sviluppabile

Volta a crociera

Simmetria assiale

Simmetria assiale e specchi

Simmetria rotazionale

Simmetria assiale e rotazionale

Composizione di simmetrie

Composizione di simmetrie

Decorazioni nel santuario di S. Maria delle Grazie

Rosoni

Movimenti

Composizione di isometrie

Fregi

Tassellazioni regolari e semiregolari

Tassellazioni non regolari con poligoni convessi

La tassellazione come forma d'arte

Gli schemi delle tassellazioni

Studio di una pavimentazione

Tassellazioni e camera di specchi

Circonferenza e cerchio

La circonferenza è una linea chiusa costituita dall'insieme dei punti del piano che hanno la stessa distanza da un punto fisso detto centro. La distanza di un punto qualsiasi della circonferenza dal centro è chiamata raggio. La parte di piano costituita dalla circonferenza e dai suoi punti interni è chiamato cerchio. Ogni segmento che unisce due punti qualsiasi di una circonferenza è detta corda; una corda che passa per il centro si chiama diametro. I diametri sono le corde più lunghe e hanno lunghezza doppia del raggio. Ogni diametro divide la circonferenza in due parti uguali dette semicirconferenze.

Com'è possibile misurare con esattezza la lunghezza di una circonferenza? Esiste una formula per determinare la lunghezza di una circonferenza? Questo problema è molto antico e sembra semplice da risolvere eppure è stato un vero rompicapo per i matematici.

Osservando due circonferenze si nota che pur non essendo uguali hanno la stessa forma. Questo significa che la circonferenza, e il suo diametro crescono in proporzione costante fra loro e quindi il rapporto tra la circonferenza e il diametro è un numero costante noto con il nome di pi greco e rappresentato con il simbolo Π.

Pertanto, la lunghezza di una circonferenza di diametro d è data da:

C = d ⋅ Π = 2Πr

Se abbiamo un oggetto perfettamente circolare e una cordicella possiamo scoprire che la circonferenza di un cerchio è lunga poco più di tre volte il suo diametro.

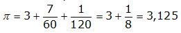
Possiamo anche scoprire che il pezzetto di cordicella che eccede il triplo del diametro è più lungo di un ottavo del diametro ma minore di un quarto del diametro. Infatti, i babilonesi (XX secolo a.C.) stabilirono per Π il valore

Il più antico documento esistente (papiro di Rhind conservato al British Museum di Londra) che indica un procedimento geometrico per calcolare il valore di pi greco fu redatto dallo scriba egiziano Ahmes intorno al 1650 a.C. Lo scriba scrisse: Togli 1/9 a un diametro e costruisci un quadrato sulla parte che rimane; questo quadrato ha la stessa area del cerchio. Applicando questo procedimento si ottiene la figura dalla quale Ahmes ipotizzò che le parti del cerchio che debordano dal quadrato siano equivalenti alle parti del quadrato che debordano dal cerchio.

Applicando questa regola si ottiene per Π il valore 3,160493827...


Un paio di secoli dopo Archimede, il più grande matematico dell'antichità, riprese il problema e ideò un metodo rigoroso per determinare valori approssimati di Π per difetto e per eccesso in modo sistematico.

Archimede vissuto a Siracusa nel periodo 287-212 a.C. oltre ad essere un matematico, fu un fisico e un inventore di congegni meccanici. Inventò la coclea o vite di Archimede (un dispositivo utilizzato per il sollevamento dell'acqua), la carrucola mobile, le ruote dentate, e perfezionò la catapulta.

Archimede dimostrò che l'area di un cerchio è uguale a quella di un triangolo rettangolo avente per cateti rispettivamente il raggio e la circonferenza del cerchio.


Inoltre, considerando i perimetri dei poligoni regolari inscritti e circoscritti al cerchio, con un numero di lati sempre crescenti, costatò che una circonferenza ha una lunghezza compresa tra il perimetro di un poligono regolare inscritto e quello dello stesso poligono regolare circoscritta ad essa.


Con l'aumentare dei numeri dei lati i valori dei perimetri di questi due poligoni regolari si avvicinano sempre di più tra loro. Ciò permette di restringere l'intervallo entro il quale è racchiuso il valore della circonferenza.

All'inizio Archimede considera l'esagono regolare inscritto in un cerchio e l'esagono regolare circoscritto allo stesso cerchio e ne calcola i perimetri. Il perimetro dell'esagono inscritto è uguale a 6r e quello dell'esagono circoscritto è uguale a 4 √3 r.

Essendo la lunghezza della circonferenza maggiore del perimetro dell'esagono inscritto ma minore del perimetro dell'esagono circoscritto può scrivere la doppia disuguaglianza


E dividendo tutto per 2r ottiene:


Quindi esaminando questi due casi stabilisce che pi greco è un numero compreso fra 3 e 3,4641... In seguito, raddoppiando il numero dei lati, Archimede considera poligoni inscritti e circoscritti rispettivamente di 12, 24, 48 e 96 lati. Applicando lo stesso procedimento determina intervalli sempre più piccoli per il valore di pi greco. Nel caso del poligono di 96 lati determina che pi greco sia compreso tra


Archimede, nonostante la sua notevole abilità nei calcoli, non riuscí ad andare oltre anche perchè, ricordiamolo, non disponeva nè di una notazione posizionale per la scrittura dei numeri decimali nè di una notazione per le frazioni come quella attuale. E' importante rilevare che Archimede fu il primo matematico a intuire che non si poteva determinare il valore esatto di Π ma si poteva però fornire un limite superiore e inferiore di tale valore con un intervallo sempre più piccolo.

Dopo Archimede per molti secoli i matematici cercarono di determinare il valore esatto di pi greco o valori di Π con un maggior numero di cifre decimali. Nel 1579 il matematico Francesco Vieta (1540-1603) utilizzando i poligoni regolari inscritti e circoscritti di 393216 lati stabilí che Π era maggiore di 3,1415926535 e minore di 3,1415926537. Solo dopo due secoli e precisamente nel 1761 il matematico Johann Heinrich Lambert dimostrò che Π è un numero irrazionale e quindi non può essere scritto come quoziente di due numeri interi. Inoltre, nel 1882 il matematico Ferdinand von Lindemann dimostrò che pi greco è un numero trascendente e quindi è impossibile esprimerlo utilizzando un numero finito di interi, di frazioni e delle loro radici.

Vediamo ora, alcune virtù matematiche del cerchio e della circonferenza.

Il cerchio è la figura piana più perfetta; è l'unica figura piana ad avere infiniti assi di simmetria e infinite rotazioni, rispetto al suo centro, che lo riportano su se stesso. Se mettiamo verticalmente uno specchio su un cerchio, in modo che il bordo dello specchio passi per il centro del cerchio, vediamo che l'immagine riflessa e quella reale formano il cerchio. Comunque ruotiamo lo specchio vedremo sempre un cerchio. Si racconta che il papa Benedetto XI (1240-1304) rimase sbalordito nel vedere Giotto (Ambrogio Bondone 1267-1337) tracciare a mano libera, con un pennello intinto di rosso, un cerchio cosí perfetto da sembrare eseguito con il compasso.

In generale tra tutti i poligoni con un fissato numero di lati e aventi lo stesso perimetro, quello regolare ha l'area massima e tra tutti i poligoni con un fissato numero di lati e aventi la stessa area, quello regolare ha il perimetro minimo. Ora, se consideriamo poligoni regolari con un numero di lati sempre crescenti, possiamo osservare che il contorno tende ad avvicinarsi sempre di più a quello di una circonferenza e le aree dei vari poligoni al crescere dei numeri dei lati tendono ad avvicinarsi sempre più all'area del cerchio. Ad esempio, nella figura sono stati disegnati poligoni regolari con 3, 4, 5, 6, 7, 8, 9, 10, 11, 12 lati aventi lo stesso perimetro.


L'area di queste figure aumenta progressivamente e il contorno tende ad avvicinarsi sempre di più a quella di una circonferenza.

Non è difficile convincersi che fra tutte le figure di perimetro fissato il cerchio è la figura di area massima e fra tutte le figure di area fissata il cerchio è quella di perimetro minimo. L'arco a tutto sesto presenta quindi una notevole caratteristica; permette di avere la massima apertura con il minore perimetro. Le proprietà di massima area e minimo perimetro del cerchio sono state da sempre sfruttate per delimitare la massima superficie piana. Virgilio nell'Eneide racconta la leggenda sull'origine della città di Cartagine. La regina Didone, figlia del re di Tiro (città della Fenicia, oggi è in Libano), fugge dalla sua città insieme ad alcuni cittadini per ragioni politiche. Dopo una lunga navigazione approdò sulle coste settentrionali dell'Africa, dove decise di costruire una città. Ma il re del luogo per dissuaderla le disse che al massimo poteva concederle tanta terra quanta ne potesse recintare con una pelle di bue. Didone, fece tagliare la pelle di bue in strisce sottilissime che poi furono annodate tra loro in modo da formare una lunga striscia. Per ottenere la massima superficie Didone delimitò, con la lunga strisce di pelle, un ampio territorio semicircolare attorno alla baia dove fondò la sua città Cartagine (oggi è in Tunisia). Nel medioevo molte città avevano la forma circolare per rendere minima la lunghezza delle mura di cinta. Le ragioni erano economiche ma anche difensive perchè con pochi soldati si poteva difendere la città dai possibili attacchi. Ad esempio la cinta muraria della cittè di Monteriggione conserva ancora una forma quasi circolare.

© giuseppe sarnataro