Indice
Prima di Pitagora
Dalla pratica alla dimostrazione
Due casi particolari
Dimostrazione di Euclide
Equiscomponibilità
Una variate alla dimostrazione di Euclide
Le molteplici dimostrazioni
Dimostrazione di H. Baravalle
Dimostrazione di Leonardo da Vinci
Dimostrazione di Perigal
Dimostrazione di Thabit Ibn Qurra
Dimostrazione di Liu Hui
Un semplice modello
Tangram e teorema di Pitagora
Due curiose prove empiriche
Dimostrazioni algebriche
Se il triangolo non è rettangolo
Orizzonti più vasti
Una ulteriore estensione
Facciamo scorrere i quadrati
La tela elastica
Teorema di Pappo
Terne pitagoriche
Un semplice metodo
Proprietà delle terne pitagoriche
Curiosità sulle terne pitagoriche
Incommensurabilità
Punto di vista geometrico
Punto di vista aritmetico
Estensione spaziale
Quaterne pitagoriche
Teorema di Pitagora e trigonometria
Teorema di Pitagora generalizzato
Quaterne pitagoriche
Abbiamo visto che nei parallelepipedi rettangoli con le dimensioni a, b, c la diagonale d è data dalla relazione pitagorica:
d2 = a2 + b2 + c2
Le quaterne di numeri interi positivi a, b, c, d che rappresentano rispettivamente le dimensioni del parallelepipedo rettangolo e la sua diagonale sono chiamate quaterne pitagoriche. Ad esempio, i numeri 4, 5, 20, 21 costituiscono una quaterna pitagorica, infatti:
![]()
Se i quattro numeri interi non hanno un fattore in comune, cioè sono primi fra loro, allora diremo che formano una quaterna pitagorica primitiva. Anche per le quaterne pitagoriche esiste una formula per generarle. Vediamo un modo per ottenere una semplice formula che genera quaterne pitagoriche. Consideriamo l'dentità:
(m + n)2 = m2 + 2mn + n2
Ora, se m e n sono due numeri interi positivi e il termine 2mn è un numero quadrato pari allora ponendo:
d2 = (m + n)2; a2 = m2; b2 = 2mn; c2 = n2
i numeri:
d = (m + n); a = m; b = √(2mn); c = n
formano una quaterna pitagorica. Ad esempio:
per 2mn = 4 si ha:
![]()
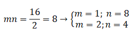
per 2mn = 16 si ha:
![]()
In questo caso i due numeri m e n generano due quaterne pitagoriche:
Prima quaterna:
![]()
Seconda quaterna:
![]()
Questa terna pitagorica è composta essendo:
4 ⋅ 32 = 4 ⋅ 12 + 4 ⋅ 22 + 4 ⋅ 22
Cioè della forma:
k ⋅ d2 = k ⋅ a2 + k ⋅ b2 + k ⋅ c2
dove k è un numero intero positivo.
Ecco ad esempio, una lista di quaderne pitagoriche generate da alcuni valori di m e n:
![]()