Indice
Un quadrilatero qualsiasi
Classificazioni dei quadrilateri
Trapezi
Parallelogrammi
Rettangoli
Rombi
Quadrati
Deltoidi
Area e perimetro dei parallelogrammi
Area del trapezio
Area del deltoide e di un quadrilatero generico
Quadrilateri e la simmetria assiale
Quadrilateri con centro di simmetria
Simmetria rotazionale del quadrato
Primo criterio di congruenza dei quadrilateri
Secondo criterio di congruenza dei quadrilateri
Terzo criteri di congruenza dei quadrilateri
Quadrilateri inscritti in uma circonferenza
Quadrilateri circoscritti a una circonfefenza
Proprietà di un quadrilatero ciclico
I punti medi di un quadrilatero
Problemi di massimo e minimo
Parallelogrammi massimi e minimi
Trasformazione di un quadrilatero in un rombo isoperimetrico
Trasformazione di un quadrilatero in un rombo equivalente
Rombi isoperimetrici
Trapezi e diagonali
Parallelogrammi e diagonali
Area del trapezio
Vediamo come si può individuare la formula per determinare l'area di un trapezio con l'aiuto di un semplice modello di carta. Disegniamo su un foglio di carta un trapezio ABCD e ritagliamolo. Ritagliamo anche un secondo trapezio, copia esatta del primo. Ruotiamo di 180°, rispetto al primo trapezio, il secondo trapezio in modo da disporlo come in figura.
![]()
Ora, se accostiamo i due trapezi, otteniamo un parallelogramma.
![]()
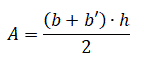
Cosa osserviamo? L'area del trapezio è uguale alla metà dell'area del parallelogramma che ha per altezza la stessa altezza h del trapezio, e per base la somma delle basi b + b' del trapezio. E poichè l'area del parallelogramma si ottiene moltiplicado la misura della base per quella dell'altezza l'area del trapezio è uguale all'area del parallelogramma diviso due e cioè:
![]()
Formule inverse per il trapezio:
Se conosciamo l'area A, l'altezza h e la base b allora l'altra base b’ è data da:
![]()
Se conosciamo l'area A, e le due basi b e b' allora l'altezza h è data da:
![]()