Indice
Cerchio e circonferenza
Corde
Parti del cerchio
Posizione di una retta rispetto a una circonferenza
Posizioni di due circonferenze
Angoli al centro e angoli alla circonferenza
La similitudine nella circonferenza
Circonferenza circoscritta a un triangolo
Circonferenza inscritta in un triangolo
Circonferenza circoscritta e inscritta in un quadrilatero
Poligoni inscritti e circoscritti
Lunghezza della circonferenza
Area del cerchio
Lunghezza di un arco e area di un settore circolare
Area di un segmento circolare e area della corona circolare
Quadratura del cerchio e lunule
Le cinque lunule quadrabili
Arbelo
Salinon
Pelecoide
Drepanoide
Dividere una circonferenza in n parti uguali
Il cerchio: figura perfetta
Il problema di Didone
Formule
Raggi dei cerchi ex-inscritti
Circonferenza dei nove punti o circonferenza di Feuerbach
Cerchio, angoli e radianti
Raggi dei cerchi ex-inscritti
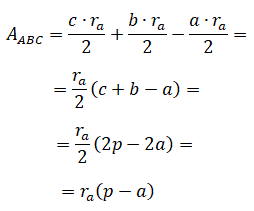
Consideriamo il triangolo ABC con le lunghezze dei lati a, b, c e il cerchio ex-inscritto di raggio ra che tocca il lato AB.
![]()
Congiungiamo il centro O con i vertici del triangolo, in questo modo, si formano i triangoli AOC, CBO e AOB.
![]()
Dalla figura è evidente che:
AreaABC = AreaAOC + AreaCBO - AreaAOB
Pertanto si ha:
![]()
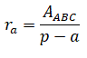
Da cui si ottiene:
![]()
E analogamente:
![]()