Indice
Cerchio e circonferenzaArea di un segmento circolare e della corona circolare
Osservando la figura:
![]()
Si intuisce che l’area del segmento circolare ad una sola base si ottiene da quella del settore corrispondente al medesimo arco sottraendo o aggiungendo l'area di un triangolo secondo che il segmento sia minore o maggiore di un semicerchio.
![]()
Cioè:
![]()
L'area di una corona circolare delimitata da due circonferenze di raggio rispettivamente r2 e r1
![]()
è data da:
![]()
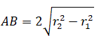
E' interessante notare che l'area della corona circolare è uguale all'area di un cerchio il cui diametro è una corda del cerchio maggiore della corona tangente al cerchio minore.
![]()
Essendo il triangolo ACO retto la lunghezza della corda AB è:
![]()
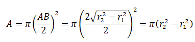
E quindi un cerchio che ha per diametro tale corda ha l'area
![]()
che è uguale all'area della corona.