Indice
Cerchio e circonferenzaPelecoide
La Pelecoide è una figura geometrica piana compresa fra quattro semicirconferenze aventi gli estremi in comune a due a due. Per costruirlo tracciamo una circonferenza di diametro AB e su AB prendiamo due punti C e D e tracciamo quattro semicirconferenze le prime due di diametri AC e AD opposte rispetto a quelle di diametri CB e DB.
![]()
Il termine pelecoide deriva dal greco e significa scure per la somiglianza di questa figura a una scure.
Il perimetro della pelecoide è uguale alla lunghezza della circonferenza di diametro AB.
Dimostrazione:
![]()
L'area della pelecoide sta all'area del cerchio di diametro AB come CD sta ad AB.
Dimostrazione:
Indichiamo:
AB = 2r,   AC = 2a,   DB = 2b
Ne segue che:
CB = 2r - 2a,   AD = 2r - 2b
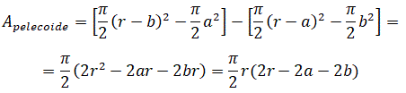
Calcoliamo l'area del pelecoide:
![]()
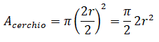
Calcoliamo l'area del cerchio di diametro AB:
![]()
Rapporto tra l'area del pelecoide e l'area del cerchio di diametro AB:
![]()
Pertanto si può facilmente determinare l'area del pelecoide con la formula:
![]()