Arbelo

L'arbelo è una figura geometrica piana delimitata da tre semicirconferenze tangenti tra loro a due a due. Per costruirlo tracciamo un semicerchio di diametro AB e su AB prendiamo un punto qualunque C e tracciamo, internamente al semicerchio, i due semicerchi di diametri AC e CB tangenti tra loro e tangenti internamente al semicerchio di diametro AB.

Il termine arbelo deriva dal greco e indica, per la sua somiglianza, la lama di un antico utensile il "trincetto da calzolaio". L'arbelo ha particolari proprietà matematiche che furono studiate da Archimede.

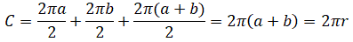
  • Il perimetro dell'arbelo è uguale alla circonferenza del cerchio di diametro AB e quindi le lunghezze dell'arco lungo la parte superiore e inferiore dell'arbelo sono le stesse.

    Dimostrazione:

    Se indichiamo con r1=a il raggio della semicirconferenza di diametro AC, con r2=b il raggio della semicirconferenza di diametro CB e r=(a+b) il raggio della semicirconferenza di diametro AB allora il perimetro dell'arbelo è:

  • Se tracciamo la perpendicolare al diametro AB nel punto C di tangenza tra tra le due semicirconferenza inferiori e indichiamo con D il punto di intersezione con la circonferenza maggiore allora l'area del cerchio di diametro CD ha la stessa area dell'arbelo.

    Dimostrazione:

    Il triangolo ABD è rettangolo essendo inscritto in una semicirconferenza e quindi per il secondo teorema di Euclide si ha:

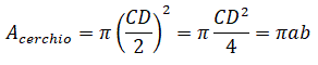
    CD2 = AC ⋅ CB = 2a + 2b = 4ab

    Pertanto l'area del cerchio di diametro CD è:

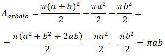
    L'area dell'arbelo è si ottiene togliendo dall'area del semicerchio di raggio r=a+b le aree dei semicerchi di raggi a e b:

  • I cerchi C1 e C2 tangenti al segmento CD e tangenti interni al semicerchio di diametro AB e tangenti esterni ad uno dei semicerchi inferiori sono chiamati cerchi gemelli oppure cerchi di Archimede e hanno ciascuno diametro:

  • L'area dell'arbelo è uguale all'area del più piccolo cerchio che racchiude i due cerchi gemelli C1 e C2. In tal caso i diametri CD e PQ sono uguali.

  • I segmenti AD e BD sono ortogonali tra loro e intersecano le semicirconferenze inferiori in E e F.

    Anche il cerchio di diametro CD passa per i punti E ed F. La retta EF è tangente comune alle due semicirconferenze inferiori e biseca il segmento CD. Inoltre, il quadrilatero EDFC è un rettangolo inscritto nel cerchio di diametro CD e EF e CD sono le diagonali del rettangolo.

© giuseppe sarnataro