Indice
Cerchio e circonferenzaSalinon
Il Salinon è una figura geometrica piana compresa fra quattro semicirconferenze aventi gli estremi in comune. Per costruirlo tracciamo una semicirconferenza di diametro AB e su AB prendiamo due punti C e D equidistanti da A e B e tracciamo due semicirconferenze di diametri AC e DB interni alla semicirconferenza di diametro AB, tracciamo inoltre la semicirconferenza di diametro CD esterna alla semicirconferenza di diametro AB.
![]()
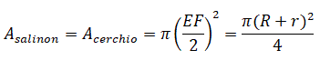
Il termine salinon deriva dal greco che significa saliera. Questa figura nota con l'appellativo di saliera di Archimede fu introdotta e studiata da Archimede nel suo libro dei Lemmi. Se si indica con R il raggio del semicerchio di diametro AB e con r il raggio del semicerchio di diametro CD allora i raggi dei due semicerchi laterali sono (R-r)/2. Archimede dimostrò che il salinon ha un'area uguale al cerchio che ha per diametro (R + r).
![]()
E quindi il salinon è equivalente al cerchio di diametro EF e EF divide la figura in due parti simmetriche.
![]()
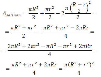
Dimostrazione:
L'area del salinon si ottiene aggiungendo all'area del semicerchio di raggio R l'area del semicerchio di raggio r e togliendo alla somma le aree dei due semicerchi di raggio (R-r).
![]()
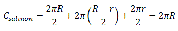
Il perimetro del salinon è uguale alla lunghezza della circonferenza di diametro AB.
Dimostrazione:
![]()