Indice
Cerchio e circonferenzaLunghezza di un arco e area di un settore circolare
Osservando la figura:
Si intuisce che al raddoppiare dell'angolo al centro α, raddoppia anche la lunghezza dell'arco l corrispondente, al triplicare dell'angolo α, triplica anche l'arco corrispondente. Si capisce quindi che la lunghezza di un arco e l'ampiezza del corrispondente angolo al centro sono grandezze direttamente proporzionali. Se indichiamo con l la lunghezza di un arco e con α l'angolo al centro corrispondente si ha:
l : α = (2⋅Π⋅r) : 360
cioè la lunghezza dell'arco sta all'angolo corrispondente come la lunghezza dell'intera circonferenza sta all'angolo giro. Ne segue:
![]()
Siamo quindi in grado di calcolare la lunghezza di un arco conoscendo il raggio della circonferenza e l'angolo al centro corrispondente. Possiamo anche calcolare il raggio della circonferenza conoscendo la lunghezza di un arco e l'angolo al centro corrispondente oppure calcolare l'angolo al centro di una circonferenza conoscendo il raggio e la lunghezza dell'arco:
![]()
Osservando la figura:
![]()
Si intuisce che al raddoppiare dell'arco l, raddoppia anche l'area A del settore corrispondente, al triplicare dell’arco l, triplica l'area del settore corrispondente. Si capisce quindi che la lunghezza di un arco e l'area del settore circolare corrispondente sono grandezze direttamente proporzionali. Se indichiamo con l la lunghezza dell'arco e con A l'area del settore corrispondente si ha la proporzione:
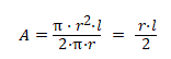
l : A = (2⋅Π⋅r) : (Π⋅r2
cioè la lunghezza dell'arco sta all'area del settore corrispondente come la lunghezza dell'intera circonferenza sta all'area del cerchio. Ne segue:
![]()
Dalla quale si ottengono le formule inverse:
![]()
La formula per l'area di un settore circolare ci ricorda quella per l'area di un triangolo
![]()