Indice
Cerchio e circonferenza
Corde
Parti del cerchio
Posizione di una retta rispetto a una circonferenza
Posizioni di due circonferenze
Angoli al centro e angoli alla circonferenza
La similitudine nella circonferenza
Circonferenza circoscritta a un triangolo
Circonferenza inscritta in un triangolo
Circonferenza circoscritta e inscritta in un quadrilatero
Poligoni inscritti e circoscritti
Lunghezza della circonferenza
Area del cerchio
Lunghezza di un arco e area di un settore circolare
Area di un segmento circolare e area della corona circolare
Quadratura del cerchio e lunule
Le cinque lunule quadrabili
Arbelo
Salinon
Pelecoide
Drepanoide
Dividere una circonferenza in n parti uguali
Il cerchio: figura perfetta
Il problema di Didone
Formule
Raggi dei cerchi ex-inscritti
Circonferenza dei nove punti o circonferenza di Feuerbach
Cerchio, angoli e radianti
Formule
Vediamo quali relazioni esistono tra gli elemeni di un poligono e il raggio della circonferenza inscritta o circoscritta al poligono.
Poligoni circoscritti a una circonferenza di centro O e raggio r.
Poligono generico.
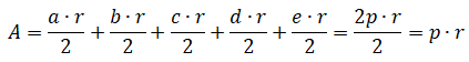
Consideriamo un generico poligono ABCDE circoscritto a una circonferenza di centro O e raggio r e supponiamo che siano a, b, c, d, e le lunghezze dei lati del poligono. Congiungendo il centro O con tutti i vertici del poligono questo viene scomposto in tanti triangoli quanti sono i suoi lati:
![]()
Tutti questi triangoli hanno la stessa altezza che è il raggio r che viene detto apotema del poligono e in generale indicato con il simbolo a. Pertanto l'area del poligono è dato dalla somma delle aree dei triangoli.
![]()
dove p è il semiperimetro del poligono. In generale:
L'area di un qualsiasi poligono circoscritto a una circonferenza di centro O e raggio r è data dal prodotto del suo semiperimetro per il raggio r.
Ne segue che il raggio r della circonferenza inscritta in un poligono è uguale al rapporto tra l'area e il semiperimetro del poligono.
![]()
Poligono regolare.
Se il poligono è regolare con n lati ognuno lungo ln la sua area è data da:
![]()
Nei poligoni regolari il rapporto tra l'apotema e il lato è un valore costante che non cambia al variare delle dimensioni del poligono. In genere tale rapporto costante è chiamato numero fisso e indicato con la lettera f. Ecco la tabella dei rapporti costanti a:l (i valori sono approssimati) di alcuni poligoni regolari:
![]()
Triangolo rettangolo.
Consideriamo un triangolo rettangolo circoscritto a una circonferenza di raggio r e supponiamo che siano a, b, c le rispettive lunghezze dei cateti e dell'ipotenusa.
![]()
E vediamo quali relazioni ci sono tra il raggio della circonferenza inscritta e i lati del triangolo. Dalla seguente figura:
![]()
Possiamo scrivere
2p = 2r + 2(a - r) + 2(b - r)
e dividendo entrambi i membri per 2 e sostituendo (a-r)+(b-r) con c si ottiene
p = r + (a - r) + (b - r) = r + c
da cui
r = p - c
Oppure
![]()
Poligoni inscritti in una circonferenza di centro O e raggio R.
Triangolo generico inscritto in una circonferenza:
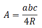
Consideriamo un generico triangolo ABC inscritto in una circonferenza di centro O e raggio R e supponiamo che siano a, b, c le lunghezze dei lati del triangolo. Tracciamo il diametro AD, l'altezza AH=h relativa al lato BC e la corda DC.
![]()
I due triangoli ABD e AHC sono rettangoli e simili avendo gli angoli acuti ADC e ACH uguali perchè insistono sullo stesso arco. Pertanto vale la proporzione:
AC : AH = AD : AB
Cioè
c : h = 2R : a
da cui
2Rh = ac
Essendo h = 2A/b sostituendo si ottiene
![]()
da cui si ottiene:
![]()
Triangolo equilatero inscritto in una circonferenza di raggio R e circoscritto a una circonferenza di raggio r:
Consideriamo un triangolo equilatero ABC di lato l inscritto in una circonferenza di centro O e raggio R e circoscritto a una circonferenza di centro O e raggio r.
![]()
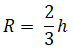
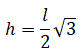
Il triangolo rettangolo OHC ha gli angoli acuti di 30° e 60° e quindi OC=2OH cioè
R = 2r
Il triangolo AOC è isoscele e quindi AO=OC ne segue:
h = R + r = 3r
e
![]()
Essendo
![]()
Ne segue
![]()
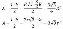
L'area del triangolo in funzione di R oppure in funzione di r è quindi
![]()
Poligono regolare inscritto in una circonferenza di raggio R.
Esprimendo la misura del lato e la misura dell'apotema del poligono regolare in funzione del raggio R della circonferenza ciscoscritta possiamo poi esprimere l'area del poligono regolare in funzione di R applicando la regola:
L'area di un poligono regolare inscritto in una circonferenza di raggio R è data dal prodotto del suo perimetro per il raggio R diviso due.
Ad esempio, nel triangolo equilatero, (come abbiamo già visto), si ha:
![]()
Nel quadrato si ha:
![]()
Ecco la tabella delle relazioni lato, apotema e area di alcuni poligoni regolari in funzione del raggio R della circonferenza circoscritta.
![]()