Indice
Cerchio e circonferenzaQuadratura del cerchio e lunule
Fin dal V secolo a.C. i matematici dell'antica Grecia erano particolarmente affascinati dai problemi della quadratura di una figura piana. Il termine quadratura prevedeva la costruzione con riga non graduata e compasso di un quadrato avente area uguale a quella della figura piana. Per i greci la riga non graduata e il compasso erano gli strumenti prediletti perchè con essi si potevano utilizzare le due figure perfette, la linea retta e il cerchio. Utilizzando solo questi due strumenti i matematici greci furono in grado di realizzare molte costruzioni geometriche e soprattutto a quadrare qualsiasi poligono limitato da una spezzata rettilinea. Per 2400 anni si tentò in tutti i modi, senza successo, di quadrare anche il cerchio. Il problema della quadratura del cerchio si riduce a costruire esattamente Π con riga e compasso. Infatti, se il cerchio ha raggio unitario la sua area sarà A=Π e quindi il quadrato che ha la stessa area del cerchio dovrà avere per lato l=√Π.
![]()
Potendo costruire esattamente Π è facile poi ottenere con riga e compasso √Π con il triangolo rettangolo inscritto in una semicirconferenza.
![]()
Solo nel 1882 il matematico tedesco Ferdinand Lindemann dimostrò che la quadratura del cerchio è un problema impossibile da risolvere perchè Π è un numero irrazionale trascendente e quindi non si può costruirlo utilizzando solo una riga non graduata e un compasso.
Ad alimentare la speranza di poter quadrare il cerchio fu la dimostrazione, data da Ippocrate di Chio, vissuto attorno al 440 a.C., che alcune particolari figure piane delimitate da due archi di circonferenza chiamate lunule erano quadrabili. Ecco ad esempio una lunula.
![]()
Vediamo la quadratura della lunula di Ippocrate.
Costruiamo un triangolo rettangolo isoscele ABC inscritto in una semicirconferenza con l'ipotenusa AB coincidente al diametro della semicirconferenza. Inoltre, indichiamo con D il punto medio di AC e tracciamo la semicirconferenza di raggio AD e centro in D e consideriamo la lunula racchiusa tra i due archi.
![]()
Indichiamo con:
- A1 l'area del semicerchio di diametro AB.
- A2 l'area del semicerchio di diametro AC.
- A3 l'area del segmento circolare AFC.
- A4 l'area del quarto di cerchio di diametro AB.
- A5 l'area della lunula.
Applicando il teorema di Pitagora al triangolo rettangolo isoscele ABC si ottiene:
![]()
Applicando la similitudine tra il semicerchio di diametro AC e il semicerchio di diametro AB si ottiene:
![]()
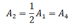
Cioè:
![]()
In altre parole, il semicerchio di diametro AC è equivalente a un quarto di cerchio di diametro AB
![]()
Ora, togliendo a queste due aree la parte comune che è l'area del segmento circolare A3 si ottiene
![]()
E quindi l'area della lunula è equivalente all'area del triangolo AOC. Essendo quadrabile il triangolo AOC
![]()
ne segue che è quadrabile anche la lunula.