Indice
Primi assiomi e teoremi di geometria nello spazio
Posizione di una retta rispetto ad un piano
Posizione di due rette nello spazio
Posizioni reciproche di due piani
Perpendicolariotà tra due rette e tra retta e piano
Diedri
Angoloidi
Prismi
Piramidi
Poliedri
Relazione di Eulero
Poliedri regolari
Cilindri
Coni
Sfera
Area della superficie laterale e totale dei prismi
Volume dei prismi
Area della superficie e volume delle piramidi
Area della superficie e volume del tronco di piramide
Area della superficie e volume dei poliedri regolari
Area della superficie e volume dei cilindri
Area della superficie e volume dei coni
Area della superficie e volume del tronco di cono
Area della superficie e volume delle sfere
Area della superficie e volume delle sfere
Al contrario di quanto è accaduto per cilindri e coni, la superficie di una sfera non è sviluppabile nel piano. Non c'è modo di "distendere" una superficie sferica nel piano, anche se la suddividiamo in piccole regioni di superficie. Osserviamo la figura
![]()
Una palla di gomma è stata tagliata lungo una circonferenza massima: ottenendo così una superficie semisferica. Poi abbiamo cercato di distendere tale superficie sul piano suddividendola in un certo numero di regioni (semifusi). Niente da fare: ogni regione, per quanto piccola, mantiene la sua "curvatura", anche se notiamo che all'aumentare del numero delle regioni ognuna di esse aderisce sempre di più al piano. C'è poi un'altra proprietà importante che emerge da questo semplice esperimento. Se cerchiamo di distendere la superficie di una sfera nel piano, si creano necessariamente delle fessure; utilizzando un linguaggio non rigoroso ma suggestivo possiamo dire che c'è "meno superficie" di quanta ne serva per essere appiattita. Poichè la superficie di una sfera non è sviluppabile nel piano, ci troviamo di fronte a un problema piuttosto complesso, paragonabile a quello della lunghezza di una circonferenza. Non possiamo infatti ricondurre l'area di tale superficie all'area di una regione piana o alla somma delle aree di un numero finito di regioni piane. Faremo allora così: prima determineremo il volume della sfera grazie al principio di Cavalieri poi riaffronteremo la questione, tenendo conto della formula per il volume che avremo acquisito.
Volume della sfera.
Consideriamo le due costruzioni in figura
![]()
Una sfera di centro O e raggio lungo r e il cilindro equilatero (di altezza lunga 2r) ad essa circoscritto;
un cilindro equilatero congruente a quello del punto precedente, disposto come in figura, e i due coni che hanno vertice nel punto O', corrispondente ad O, e per basi le basi del cilindro.
Chiameremo anticlessidra il solido che si ottiene togliendo al cilindro i due coni. Vogliamo dimostrare, grazie al principio di Cavalieri, che sfera e anticlessidra sono equivalenti. Poi, sarà più facile determinare il volume della sfera come differenza dei volumi di cilindro e doppio cono. Consideriamo allora un piano β parallelo al piano α su cui poggiano le costruzioni; sia d la distanza del piano β dal punto O (e quindi anche dal punto O').
![]()
Nella successiva figura vediamo due diverse sezioni di sfera e anticlessidra con tale piano.
![]()
Mostriamo che sezioni corrispondenti sono equivalenti. La prima sezione, quella della sfera, è evidentemente un cerchio di raggio
![]()
e quindi di area
A1 = Π(r2 - d2)
La sezione dell'anticlessidra è la corona circolare. Il suo raggio maggiore non varia al variare del piano secante ed ha evidentemente misura costante r; varia invece il raggio minore. Per determinarlo tieni presente che i due triangoli rettangoli in figura
![]()
sono simili perchè hanno gli angoli corrispondenti congruenti; ne segue che il raggio minore della corona è lungo d. Quindi l'area della corona sezione è
A2 = Π(r2 - d2)
Poichè ad ogni quota del piano secante si ha
A1 = A2
i due solidi hanno, per il principio di Cavalieri, lo stesso volume. Sappiamo che il volume dell'anticlessidra è
![]()
e dunque questo è anche il volume della sfera. Abbiamo così dimostrato che il volume di una sfera è dato dalla formula
![]()
dove r è la misura del raggio della sfera.
Area della superficie sferica.
Affrontiamo ora la questione più delicata. Per definire la lunghezza della circonferenza (il contorno di un cerchio) abbiamo considerato dei poligoni "approssimanti" inscritti (o circoscritti); un discorso analogo possiamo farlo, nello spazio, per la superficie sferica (il contorno di una sfera): possiamo approssimarla considerando la superficie di poliedri inscritti o circoscritti alla sfera. Noi utilizzeremo poliedri circoscritti. Ragioniamo per analogia dimensionale.
Nel piano, per costruire un poligono circoscritto approssimante un dato cerchio, possiamo fare così: considero una distribuzione uniforme di n punti A, B, C, … sulla circonferenza e poi traccio le rette tangenti alla circonferenza in questi punti. Tali rette tangenti individuano un poligono circoscritto; si dice che inviluppano la circonferenza.
![]()
Una distribuzione certamente uniforme dei punti A, B, C, … sulla circonferenza si ha quando quest'ultima è divisa dai punti in archi congruenti: in questo caso il poligono è regolare (come in figura). Al crescere del numero n dei punti otteniamo poligoni circoscritti il cui contorno approssima sempre meglio la circonferenza.
Nello spazio, per costruire un poliedro circoscritto approssimante una data sfera, possiamo fare così: consideriamo una distribuzione uniforme di n punti A, B, C, … sulla superficie della sfera e poi tracciamo i piani tangenti alla superficie in questi punti. Tali piani tangenti individuano un poliedro circoscritto; si dice che inviluppano la superficie sferica. In figura vediamo, ad esempio, 6 punti (quindi n=6) distribuiti uniformemente sulla superficie di una sfera e i piani tangenti in questi punti (ne manca solo uno); il poliedro individuato è in questo caso proprio il cubo circoscritto.
![]()
Per ottenere distribuzioni uniformi di punti sulla superficie di una sfera potremo considerare una rete di meridiani e paralleli e i loro punti di intersezione.
![]()
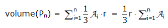
Il numero n dei punti può diventare grande quanto si vuole pur di "infittire" sufficientemente la rete. Il poliedro circoscritto relativo agli n punti di una data rete non sarà in generale un poliedro regolare ma avrà n facce ognuna tangente alla superficie sferica. Questo significa che tutte le facce hanno la stessa distanza dal centro della sfera. Al crescere del numero n dei punti o nodi della rete, il poliedro circoscritto approssima sempre meglio la sfera e la superficie del poliedro approssima sempre meglio la superficie sferica. Noi sappiamo calcolare l'area A della superficie del poliedro: è la somma delle aree delle n facce cioè
![]()
dove Ai indica l'area della faccia i-esima. Si può dimostrare (ma non lo faremo) che tale somma tende ad un numero reale ben determinato quando n tende all’infinito. Ciò giustifica la seguente definizione:
L'area della superficie di una sfera è quel numero reale a cui tende la somma delle aree delle n facce del poliedro circoscritto, relativo ad una rete di n nodi sulla superficie sferica, quando n tende all'infinito.
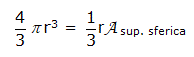
Non ci rimane che determinare l'area della superficie sferica. Chiamiamo Pn il poliedro circoscritto di n facce. Osserviamo che il suo volume può ottenersi come somma dei volumi delle n piramidi che hanno per base le facce del poliedro e per vertice il centro della sfera. Ne vedi una in figura.
![]()
Tali piramidi hanno tutte l'altezza congruente al raggio della sfera perchè le loro basi sono tangenti alla superficie sferica; si ha quindi
![]()
Ora, quando n tende all'infinito, il volume del poliedro tende al volume della sfera e la somma
![]()
tende all'area della superficie sferica.
![]()
Perciò possiamo scrivere
![]()
Ma sappiamo, grazie al principio di Cavalieri, che
![]()
Quindi deve essere
![]()
da cu
![]()