Indice
Primi assiomi e teoremi di geometria nello spazio
Posizione di una retta rispetto ad un piano
Posizione di due rette nello spazio
Posizioni reciproche di due piani
Perpendicolariotà tra due rette e tra retta e piano
Diedri
Angoloidi
Prismi
Piramidi
Poliedri
Relazione di Eulero
Poliedri regolari
Cilindri
Coni
Sfera
Area della superficie laterale e totale dei prismi
Volume dei prismi
Area della superficie e volume delle piramidi
Area della superficie e volume del tronco di piramide
Area della superficie e volume dei poliedri regolari
Area della superficie e volume dei cilindri
Area della superficie e volume dei coni
Area della superficie e volume del tronco di cono
Area della superficie e volume delle sfere
Area della superficie e volume del tronco di piramide
La superficie laterale di un tronco di piramide retta è formata da trapezi le cui altezze, tutte congruenti, sono apotemi del tronco e le cui basi sono i lati delle basi del tronco.
![]()
Ragionando sul tronco in figura che ha le basi pentagonali e indicando con a la misura dell'apotema del tronco e rispettivamente con
B1, B2, ..., B5   e   b1, b2, ..., b5
le misure dei lati della base maggiore e della base minore, l'area della superficie laterale del tronco è uguale alla somma delle aree dei trapezi.
![]()
Se indichiamo con 2p e 2p' rispettivamente il perimetro della base maggiore e il perimetro della base minore possiamo scrivere
![]()
dove p e p' sono i semiperimetri delle basi. Pertanto la misura dell'area della superficie laterale di un tronco di piramide si ottiene moltiplicando l'apotema del tronco con la somma dei semiperimetri delle basi.
L'area della superficie totale è uguale alla somma dell'area della superficie laterale con le aree dei poligoni di baseSt = Sl + A + A'
Volume del tronco di piramide.
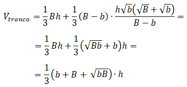
Teorema 25: La misura del volume di un tronco di piramide avente l'area di base maggiore B e l'area di base minore b e altezza h è dato dalla formula:
![]()
Dimostrazione:
Consideriamo la seguente figura
![]()
Il volume del tronco è dato dalla differenza tra il volume della piramide avente per base la base maggiore e il volume della piramide avente per base la base minore, quindi:
![]()
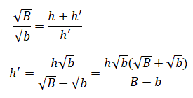
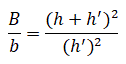
Le due piramidi sono simili e quindi le aree delle basi sono proporzionali al quadrato delle altezze:
![]()
e risolvendo rispetto a h' si ottiene
![]()
Sostituendo h' nella prima formula si ottiene:
![]()