Indice
Primi assiomi e teoremi di geometria nello spazio
Posizione di una retta rispetto ad un piano
Posizione di due rette nello spazio
Posizioni reciproche di due piani
Perpendicolariotà tra due rette e tra retta e piano
Diedri
Angoloidi
Prismi
Piramidi
Poliedri
Relazione di Eulero
Poliedri regolari
Cilindri
Coni
Sfera
Area della superficie laterale e totale dei prismi
Volume dei prismi
Area della superficie e volume delle piramidi
Area della superficie e volume del tronco di piramide
Area della superficie e volume dei poliedri regolari
Area della superficie e volume dei cilindri
Area della superficie e volume dei coni
Area della superficie e volume del tronco di cono
Area della superficie e volume delle sfere
Area della superficie e volume del tronco di cono
L'area della superficie laterale di un tronco di cono si trova per differenza delle aree laterali del cono da cui il tronco deriva e del cono reciso.
![]()
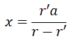
Indicando con r, r' ed a le misure del raggio della base maggiore, del raggio della base minore e dell'apotema del tronco e con x la misura dell'apotema del cono reciso, si ha
Sl tronco = Πr(a + x) - Πr'x
Tenendo conto della similitudne tra i due triangoli possiamo scrivere la proporzione
(x + a) : x = r : r'
e risolvendo rispetto a x si ha
![]()
e quindi
![]()
Naturalmente per determinare la misura dell'area della superficie totale del tronco di cono basta aggiungere alla misura dell'area della superficie laterale quelle delle due basi.
Per il volume di un tronco di cono si applica lo stesso procedimento utilizzato per un tronco di piramide e si perviene ad una identica formula:
![]()
dov B e b e h sono rispettivamente le misure delle aree delle basi e dell'altezza del tronco di cono.