Indice
Primi assiomi e teoremi di geometria nello spazio
Posizione di una retta rispetto ad un piano
Posizione di due rette nello spazio
Posizioni reciproche di due piani
Perpendicolariotà tra due rette e tra retta e piano
Diedri
Angoloidi
Prismi
Piramidi
Poliedri
Relazione di Eulero
Poliedri regolari
Cilindri
Coni
Sfera
Area della superficie laterale e totale dei prismi
Volume dei prismi
Area della superficie e volume delle piramidi
Area della superficie e volume del tronco di piramide
Area della superficie e volume dei poliedri regolari
Area della superficie e volume dei cilindri
Area della superficie e volume dei coni
Area della superficie e volume del tronco di cono
Area della superficie e volume delle sfere
Area della superficie e volume delle piramidi
La superficie laterale di una piramide è formata da tanti triangoli quanti sono i lati del poligono di base.
![]()
Se la piramide è retta la superficie laterale è formata da triangoli le cui altezze, tutte congruenti, sono apotemi della piramide e le cui basi sono i lati del poligono di base.
![]()
La somma delle aree di tali triangoli è quindi uguale all'area di un unico triangolo che ha base lunga quanto il perimetro di base della piramide e altezza congruente all'apotema. Pertanto la superficie laterale di una piramide retta si ottiene moltiplicando il semiperimetro del poligono di base per l'apotema.
Sl = p ⋅ a
La superficie totale si ottiene ovviamente sommando alla superficie laterale l'area di base.
St = Sl + Sb
Se la piramide non è retta, per determinare la sua superficie laterale bisogna calcolare l'area di ciascuna faccia e sommare i loro valori.
Occupiamoci ora del volume di una piramide.
Teorema 23: Se due piramidi hanno basi equivalenti e altezze congruenti allora hanno lo stesso volume.Dimostrazione:
Consideriamo due piramidi una a base quadrata e l'altra a base triangolare e sia γ un piano qualsiasi che tagli le due piramidi e sia h' la distanza di γ dal piano β parallelo alle basi e passante per i vertici; siano S1 ed S2 i due poligoni sezione.
![]()
Sezione e base di ciascuna piramide sono poligoni simili e il rapporto di similitudine è h'/h. Perciò si ha
![]()
e quindi area(S1) = area(S2). Ne segue, per il principio di Cavalieri, che le due piramidi hanno lo stesso volume. Possiamo ora, dimostrare che:
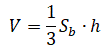
Teorema 24: Il volume di una piramide è uguale a un terzo dell'area di base per la misura h dell'altezza della piramide:
![]()
Dimostrazione:
Primo passo.
Proviamo prima di tutto che un prisma a base triangolare può essere suddiviso in tre piramidi equivalenti. Consideriamo un prisma a base triangolare e evidenziamo le tre piramidi.
![]()
Confrontando le piramidi a coppie, possiamo notare che non hanno punti interni in comune e la loro unione è uguale al prisma. Le piramidi 1 e 2 hanno basi congruenti e altezze congruenti (le altezze sono EB e DA e sono altezze del prisma); per quanto dimostrato hanno allora lo stesso volume. Anche le piramidi 1 e 3 hanno basi congruenti e altezze congruenti. Consideriamo come basi rispettivamente i triangoli ECB e EFC che appartengono allo stesso piano e sono evidentemente congruenti (EC è la diagonale del parallelogramma EFCB); inoltre il vertice opposto a tali basi è il vertice A, comune alle due piramidi, perciò le due piramidi hanno la stessa altezza. Quindi le tre piramidi hanno lo stesso volume che è uguale a 1/3 del volume del prisma.
Secondo passo.
Consideriamo ora una generica piramide di vertice V ad esempio, una obliqua e a base esagonale.
![]()
Possiamo sempre costruire un prisma retto a base triangolare tale che:
la base del prisma poggi sullo stesso piano della base della piramide e i solidi si trovino nello stesso semispazio;
la base del prisma abbia la stessa area della base della piramide;
l'altezza del prisma sia congruente all'altezza della piramide.
Considera ora la piramide di vertice V e la piramide EABC (quest'ultima è una delle tre piramidi equivalenti in cui può essere suddiviso il prisma); le due piramidi, avendo basi equivalenti e altezze congruenti, hanno lo stesso volume. Ma il volume della piramide EABC è uguale a 1/3 del volume del prisma quindi la tesi.