Indice
Primi assiomi e teoremi di geometria nello spazio
Posizione di una retta rispetto ad un piano
Posizione di due rette nello spazio
Posizioni reciproche di due piani
Perpendicolariotà tra due rette e tra retta e piano
Diedri
Angoloidi
Prismi
Piramidi
Poliedri
Relazione di Eulero
Poliedri regolari
Cilindri
Coni
Sfera
Area della superficie laterale e totale dei prismi
Volume dei prismi
Area della superficie e volume delle piramidi
Area della superficie e volume del tronco di piramide
Area della superficie e volume dei poliedri regolari
Area della superficie e volume dei cilindri
Area della superficie e volume dei coni
Area della superficie e volume del tronco di cono
Area della superficie e volume delle sfere
Area della superficie e volume dei poliedri regolari
Indichiamo con s lo spigolo di ciascun poliedro regolare.
Tetraedro regolare
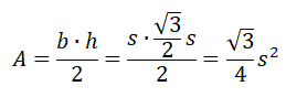
Un tetraedro regolare è una piramide retta le cui facce sono triangoli equilateri. L'area di un triangolo equilatero di lato s è
![]()
Per cui la misura dell'area della superficie S del tetraedro è data dalla formula
![]()
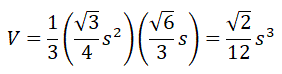
Il volume del tetraedro, essendo una piramide retta, è uguale a un terzo dell'area di base per la misura h dell'altezza della piramide.
![]()
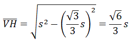
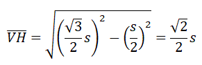
Determiniamo l'altezza VH applicando il teorema di Pitagora al triangolo rettangolo AHV sapendo che AV=s e AH è uguale ai 2/3 dell'altezza del triangolo equilatero.
![]()
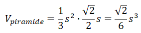
Per cui la misura del volume è data dalla formula
![]()
Cubo
Un cubo è un prisma le cui facce sono quadrati per cui le misure delle superficie laterali e totali sono date dalle formuleS = 6s2;   V = s3
Ottaedro regolare
Un ottaedro regolare ha otto facce che sono triangoli equilateri per cui la misura dell'area della sua superficie è data dalla formula
![]()
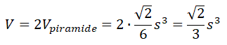
Un ottaedro regolare può essere scomposto in due piramidi rette a base quadrate le cue facce laterali sono triangoli equilateri e quindi il volume dell'ottaedro è uguale alla somma dei volumi delle due piramidi.
![]()
Vediamo come possiamo determinare la misura del volume di una delle due piramidi. Consideriamo la figura
![]()
e determiniamo la sua altezza VH applicando il teorema di Pitagora al triangolo MHV sapendo che MH è la metà dello spigolo e VM è l'altezza di un triangolo equilatero di lato s.
![]()
La misura del volume della piramide è quindi
![]()
Pertanto la misura del volume dell'ottaedro regolare è data dalla formula
![]()
Icosaedro regolare
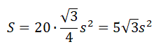
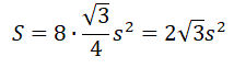
Un icosaedro regolare ha venti facce che sono triangoli equilateri per cui la misura dell'area della sua superficie è data dalla formula
![]()
Un icosaedro regolare può essere scomposto in venti piramidi rette aventi come base una faccia del solido e per altezza la distanza di una faccia dal centro del solido in figura è evidenziata una delle venti piramidi.
![]()
Per cui il volume dell'icosaedro è dato dalla somma delle misure dei volumi delle venti piramidi. Si può dimostrare, ma non lo faremo, che tale distanza è il raggio della sfera inscritta nell'icosaedro
![]()
e la sua misura è data dalla formula
![]()
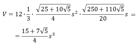
Per cui la misura del volume dell'icosaedro regolare è dato dalla formula
![]()
Dodecaedro regolare
Un dodecaedro regolare ha dodici facce che sono pentagoni regolari per cui la misura dell'area della sua superficie è data dalla formula
![]()
Un dodecaedro regolare può essere scomposto in dodici piramidi rette aventi come base una faccia del solido e per altezza la distanza di una faccia dal centro del solido.
![]()
Per cui il volume del dodecaedro regolare è dato dalla somma delle misure dei volumi delle dodici piramidi.Si può dimostrare, ma non lo faremo, che tale distanza è il raggio della sfera inscritta nel dodecaedro
![]()
e la sua misura è data dalla formula
![]()
Per cui la misura del volume del dodecaedro regolare è dato dalla formula
![]()