Indice
Primi assiomi e teoremi di geometria nello spazio
Posizione di una retta rispetto ad un piano
Posizione di due rette nello spazio
Posizioni reciproche di due piani
Perpendicolariotà tra due rette e tra retta e piano
Diedri
Angoloidi
Prismi
Piramidi
Poliedri
Relazione di Eulero
Poliedri regolari
Cilindri
Coni
Area della superficie laterale e totale dei prismi
Volume dei prismi
Area della superficie e volume delle piramidi
Area della superficie e volume del tronco di piramide
Area della superficie e volume dei poliedri regolari
Area della superficie e volume dei cilindri
Area della superficie e volume dei coni
Area della superficie e volume del tronco di cono
Area della superficie e volume delle sfere
Area della superficie e volume dei coni
Anche per il cono ci avvarremo di un osservazione intuitiva, di tipo sperimentale. Immaginiamo che la superficie laterale di un cono sia di carta o di cartoncino flessibile e il cono sia cavo: possiamo tagliarla lungo una generatrice e lungo la circonferenza di base e distenderla su un piano (come avevamo già fatto per il cilindro). Quindi la superficie laterale di un cono, pur non appartenendo ad un stesso piano, può svilupparsi nel piano. Lo sviluppo della superficie laterale è un settore circolare il cui arco è lungo quanto la circonferenza di base del cono e il cui raggio è lungo quanto l'apotema del cono.
![]()
Sappiamo calcolare l'area di tale settore: è uguale al semiprodotto della lunghezza dell'arco per la misura del raggio del settore. Pertanto l'area della superficie laterale del cono misura:
![]()
L'area totale si ottiene ovviamente sommando all'area laterale l'area di base.
St = Πra + Πr2
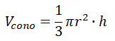
Per determinare il volume di un cono applicheremo ancora una volta il principio di Cavalieri.
Possiamo sempre costruire una piramide retta, ad esempio a base quadrata, che abbia la stessa area di base di un dato cono e altezza congruente a quella del cono. Disponendo i due solidi con le basi sullo stesso piano α come vedi in figura
![]()
è facile rendersi conto che sezioni corrispondenti dei due solidi, relative ad un piano β parallelo ad α, sono equivalenti. Allora per il principio di Cavalieri i due solidi hanno lo stesso volume. Pertanto un cono avente raggio di base r e altezza h è equivalente a una piramide avente area di base Πr2 e altezza h:
![]()