Indice
Concetto di distanza
Segmento di taxi
Piano Cartesiano di taxi
Segmenti di taxi uguali
Retta di taxi
Equazione di retta di taxi
Semiretta di taxi
Bilati
Triangoli di taxi
Triangoli congruenti
Luogo dei punti equidistanti da due punti dati
Triangoli equilateri di taxi
Quadrilateri di taxi
Circonferenza di taxi
Costruzioni con circonferenze
Circonferenza circoscritta a un triangolo di taxi
Punti notevoli in un triangolo di taxi
Ellisse di taxi
Iperbole di taxi
Parabola di taxi
Piano Cartesiano di taxi
Nel piano cartesiano di taxi l'origine degli assi rappresenta un punto di riferimento che potrebbe essere la sede della centrale di taxi oppure il municipio della città, la griglia a maglie quadrate le strade e i nodi gli incroci. In tale sistema vengono considerati solo i punti a coordinate intere e le distanze sono sempre numeri interi perchè corrispondono al numero dei caseggiati che il taxi deve percorrere per spostarsi da un punto A a un punto B. Ad esempio, se il taxi si trova nel punto A di coordinate (-3, 1) e deve spostarsi nel punto B di coordinate (3, 3) la distanza tra A e B si calcola misurando il percorso più breve movendosi solo parallelamente ad uno degli assi.
![]()
Pertanto la distanza tra A e B è uguale alla somma delle lunghezze euclidee di due segmenti paralleli agli assi e se si vuole esprimere la distanza in funzione delle coordinate allora è data dalla somma delle differenze assolute delle corrispondente coordinate.
d(A, B) = |x2 - x1| + |y2 - y1|
Nel nostro caso si ottiene:
d(A, B) = |3 -(- 3)| + |3 - 1| = 8
Osservando la figura ci rendiamo facilmente conto che il percorso più breve tra A e B non è unico:
![]()
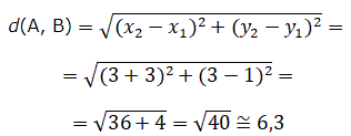
Però ogni possibile percorso minimo tra A e B accessibile al taxi ha lunghezza 8. Mentre il percorso minimo euclideo tra i punti A e B è unico ed è dato da:
![]()
Se facciamo un confronto fra la distanza euclidea e la distanza di taxi possiamo costatare che quest'ultima è sempre maggiore o uguale di quella euclidea ed è uguale solo nel caso in cui i due punti abbiano la stessa ascissa o la stessa ordinata.
![]()