Indice
Concetto di distanza
Segmento di taxi
Piano Cartesiano di taxi
Segmenti di taxi uguali
Retta di taxi
Equazione di retta di taxi
Semiretta di taxi
Bilati
Triangoli di taxi
Triangoli congruenti
Luogo dei punti equidistanti da due punti dati
Triangoli equilateri di taxi
Quadrilateri di taxi
Circonferenza di taxi
Costruzioni con circonferenze
Circonferenza circoscritta a un triangolo di taxi
Punti notevoli in un triangolo di taxi
Ellisse di taxi
Iperbole di taxi
Parabola di taxi
Segmento di taxi
Nella geometria del taxi la linea che unisce due punti A e B con la minima distanza è detta segmento di taxi. Possiamo pensare che il segmento di taxi rappresenti il percorso minimo o la strada che un taxi deve compiere per trasportare un passeggero da un punto A a un punto B della città con il minimo chilometraggio.
![]()
Nella geometria euclidea la distanza minima tra due punti A e B è il segmento di retta che ha per estremi i due punti ed è sempre unica.
![]()
Invece, nella geometria del taxi la distanza minima o segmento di taxi può non essere unica. Ad esempio, in figura ci sono tre distanze minime tra i due punti A e B. Questo vuol dire che se il tassista partendo da A si avvicina continuamente alla destinazione B ha a sua disposizione tre possibili percorsi minimi alternativi.
![]()
Bisogna considerare il segmento di taxi in modo diverso dal segmento euclideo, da un punto di vista euclideo i segmenti di taxi possono essere delle poligonali aperte formate da più segmenti orizzontali e verticali consecutivi.
Se due punti A e B non si trovano su una stessa strada orizzontale (o verticale) quanti sono i segmenti di taxi distinti che uniscono i due punti? Ad esempio, quanti percorsi di taxi sono possibili tra i punti A e B di una città ideale con minimo chilometraggio?
![]()
Ci sono 10 segmenti di taxi distinti tra A e B cioè, ci sono 10 percorsi alternativi per un taxi per coprire la distanza tra A e B con il minimo chilometraggio.
![]()
![]()
Come si vede dalla figura tutti i segmenti di taxi hanno lunghezza pari a 5 unità e ogni percorso è interno o sul contorno di un rettangolo euclideo 3x2. Chiameremo tale rettangolo che ha per vertici opposti i due punti A e B rettangolo di ingombro.
Come possiamo stabilire il numero di segmenti di taxi tra due punti A e B senza dover disegnarli? Esiste una regola:
Il numero di segmenti di taxi che arrivano in un incrocio è sempre uguale alla somma dei segmenti di taxi che arrivano negli incroci immediatamente precedenti.
![]()
Lo schema precedente è lo stesso del triangolo di Tartaglia ed è possibile associare i due schemi per determinare il numero dei segmenti di taxi o del percorso dei taxi come si vede in figura.
![]()
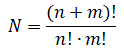
Esiste anche una formula per calcolare il numero di percorsi minimi tra A e B; se indichiamo con m e n le rispettive distanze orizzontale e verticale tra i due punti allora il numero N dei percorsi minimi è:
![]()
Con il simbolo n! (si legge n fattoriale) si indica il prodotto di n fattori interi decrescenti da n ad 1, per convenzione si pone 0!=1 e 1!=1. Se consideriamo il nostro caso in cui la distanza orizzontale è m = 3 e quella verticale è n = 2 si ha:
(n+m)! = (2+3)! = 5! = 5x4x3x2x1 = 120
n! = 2! = 2x1 = 2
m! = 3! = 3x2x1 = 6E applicando la formula si ottiene:
![]()
Dall'esempio esaminato possiamo dedurre una regola generale:
Per stabilire il numero di segmenti di taxi tra due punti A e B che non sono sulla stessa strada bisogna conoscere sia la distanza tra i due punti sia le dimensioni del rettangolo di ingombro che ha per vertici opposti i punti A e B.