Indice
Angoli e loro misura
L'interpretazione dinamica dell'angolo
Definizioni di seno, coseno e tangente
Come variano il seno e il coseno di un angolo
Come variano il seno e il coseno di un angolo
Relazioni fondamentali della goniometria
Angoli associati
Riduzione al primo quadrante
Rappresentazione grafica delle funzioni goniometriche
Trasformazioni geometriche di funzioni goniometriche
Funzioni sinusoidali e modelli armonici
Funzioni goniometriche inverse
Funzioni goniometriche reciproche
Grafici delle funzioni goniometriche reciproche
Formule di addizione e sottrazione del coseno
Formule di addizione e sottrazione del seno e della tangente
Formule di duplicazione
Formule di bisezione
Formule parametriche
Formule di Werner e di prostaferesi
Formule di bisezione
Vediamo come possiamo determinare le formule delle funzioni goniometriche dell'angolo di ampiezza α/2 note le funzioni goniometriche dell'angolo di ampiezza α. L'uguaglianza:
![]()
ci suggerisce che possiamo ricavare le formule di bisezione utilizzando le formule di duplicazione. Vediamo come:
Formula di bisezione del seno.
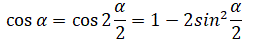
Dalla formula di duplicazione:
![]()
si ottiene
![]()
Cioè
![]()
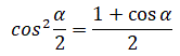
Formula di bisezione del coseno.
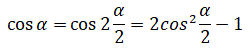
Dalla formula di duplicazione:
![]()
si ottiene
![]()
Cioè
![]()
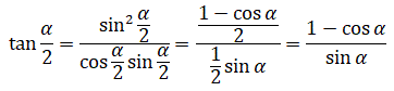
Formula di duplicazione della tangente.
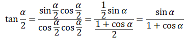
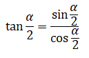
Partendo dalla formula:
![]()
moltiplicando numeratore e denominatore per sin α/2 si ottiene:
![]()
e tenendo presente che
![]()
Sostituendo si ottiene:
![]()
Analogamente, partendo dalla formula:
![]()
moltiplicando numeratore e denominatore per cos α/2 si ottiene:
![]()