Indice
Angoli e loro misura
L'interpretazione dinamica dell'angolo
Definizioni di seno, coseno e tangente
Come variano il seno e il coseno di un angolo
Come variano il seno e il coseno di un angolo
Relazioni fondamentali della goniometria
Angoli associati
Riduzione al primo quadrante
Rappresentazione grafica delle funzioni goniometriche
Trasformazioni geometriche di funzioni goniometriche
Funzioni sinusoidali e modelli armonici
Funzioni goniometriche inverse
Funzioni goniometriche reciproche
Grafici delle funzioni goniometriche reciproche
Formule di addizione e sottrazione del coseno
Formule di addizione e sottrazione del seno e della tangente
Formule di duplicazione
Formule di bisezione
Formule parametriche
Formule di Werner e di prostaferesi
Formule di duplicazione
Le formule delle funzioni goniometriche dell'angolo di ampiezza 2α si ottengono facilmente dalle formule di addizione ponendo β=α.
Formula di duplicazione del seno.
![]()
Formula di duplicazione del coseno.
![]()
Questa formula può essere scritta in altre due forme equivalenti:
Essendo:
![]()
si ha
![]()
Essendo:
![]()
si ha
![]()
Formula di duplicazione della tangente.
![]()
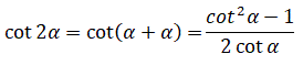
Formula di duplicazione della cotangente.
![]()