Indice
Angoli e loro misura
L'interpretazione dinamica dell'angolo
Definizioni di seno, coseno e tangente
Come variano il seno e il coseno di un angolo
Come variano il seno e il coseno di un angolo
Relazioni fondamentali della goniometria
Angoli associati
Riduzione al primo quadrante
Rappresentazione grafica delle funzioni goniometriche
Trasformazioni geometriche di funzioni goniometriche
Funzioni sinusoidali e modelli armonici
Funzioni goniometriche inverse
Funzioni goniometriche reciproche
Grafici delle funzioni goniometriche reciproche
Formule di addizione e sottrazione del coseno
Formule di addizione e sottrazione del seno e della tangente
Formule di duplicazione
Formule di bisezione
Formule parametriche
Formule di Werner e di prostaferesi
Formule di addizione e sottrazione del seno e della tangente
Utilizzando le formule degli angoli complementari che legano seno e coseno:
![]()
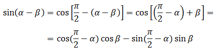
e la formula di addizione del coseno possiamo ricavare la formula di sottrazione del seno. Vediamo:
![]()
e sostituendo:
![]()
si ottiene la formula di sottrazione del seno:
![]()
La formula di addizione del seno può essere facilmente dedotta dalla formula di sottrazione del seno:
![]()
Conoscendo le formule di addizione e di sottrazione del seno e del coseno siamo in grado di determinare le formule di addizione e di sottrazione della tangente tenendo presente che:
![]()
Determiniamo tan(α + β):
![]()
E dividendo numeratore e denominatore per cosαcosβ si ottiene:
![]()
Determiniamo tan(α - β):
![]()
In modo del tutto analogo, si possono determinare le formule di addizione e di sottrazione della cotangente:
![]()