Indice
Angoli e loro misura
L'interpretazione dinamica dell'angolo
Definizioni di seno, coseno e tangente
Come variano il seno e il coseno di un angolo
Come variano il seno e il coseno di un angolo
Relazioni fondamentali della goniometria
Angoli associati
Riduzione al primo quadrante
Rappresentazione grafica delle funzioni goniometriche
Trasformazioni geometriche di funzioni goniometriche
Funzioni sinusoidali e modelli armonici
Funzioni goniometriche inverse
Funzioni goniometriche reciproche
Grafici delle funzioni goniometriche reciproche
Formule di addizione e sottrazione del coseno
Formule di addizione e sottrazione del seno e della tangente
Formule di duplicazione
Formule di bisezione
Formule parametriche
Formule di Werner e di prostaferesi
Funzioni sinusoidali e modelli armonici
Molti fenomeni fisici si ripetono con oscillazioni costanti ad intervalli di tempo definiti ad esempio le onde sonore, la luce, le onde elettromagnetiche, la corrente elettica alternata, le maree. Tutti questi fenomeni possono essere descritti dalle due equazione:
![]()
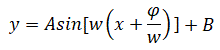
che vengono dette funzioni sinusoidali. I grafici di queste equazioni possono essere ottenuti dai grafici delle funzioni seno e coseno mediante dilatazioni e traslazioni. Vediamo come ciò è possibile. Consideriamo la prima equazione e scriviamola nella forma:
![]()
Esaminimo il ruolo dei quattro parametri (A, w, φ, B) presenti nella funzione.
A, dilatazione verticale della curva.
Il parametro A genera una dilatazione verticale con centro nell'origine. Per A > 1 si ha una dilatazione , mentre per A compreso tra 0 e 1 si ha una contrazione verticale.
![]()
Come si vede dalla figura per A = 2 l'immagine della funzione y=Asin(x) è l'intervallo [-2, 2], mentre per A=1/2 l'intervallo è [-1/2, 1/2]. In generale l'intervallo della funzione y=Asin(x) è [-A, A] e l'ampiezza della curva (semidistanza tra un massimo e un minimo) è data da |A|.
w, pulsazione.
Il parametro w genera una dilatazione orizzontale con centro nell'origine. Per w > 1 si ha una contrazione, mentre per w < 1 si ha una dilatazione.
![]()
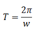
Il parametro w viene detto pulsazione perchè influenza il periodo della funzione. In generale se indichiamo con T il periodo della funzione sinusoidale la relazione tra T e w è:
![]()
Come si vede dalla figura per w=2 il periodo T è Π, mentre per w=1/2 il periodo T è 4Π.
φ, sfasamento.
Il parametro φ genera una traslazione orizzontale rispetto all'origine.
Per φ > 0 si ha una traslazione verso destra, mentre per φ < 0 si ha una traslazione verso sinistra.
![]()
Il parametro φ viene detto sfasamento o angolo di fase.
B, traslazione verticale.
Il parametro B genera una traslazione verticale rispetto all'origine.
Per B > 0 si ha una traslazione verso l'alto, mentre per B < 0 si ha una traslazione verso il basso.
![]()
Il parametro B rappresenta la media di una funzione sinusoidale cioè l'esatta metà tra il massimo e il minimo della funzione. In generale in una funzione y=Asin(wx+φ)+B l'immagine del grafico è compreso nell'intervallo [B-|A|, B+|A|].
Ad esempio la funzione sinusoidale y=2sin(2x+Π/2)-1 che può essere scritta nella forma equivalente:
![]()
si ottiene applicando prima alla funzione y=sin(x) una dilatazione (con centro nell'origine) di fattore verticale 2 e fattore orizzontale 1/2
![]()
e poi sul grafico ottenuto una traslazione di vettore (-Π/4, -1).
Il periodo della funzione è Π e l'intervallo della funzione è [-3, 1].
![]()