Indice
Numeri triangolari
Alcune relazioni tra i numeri triangolari
Alcune applicazioni dei numeri triangolari
Il triangolo di Pascal e i numeri triangolari
Alcuni numeri triangolari sono perfetti
Somma di numeri triangolari
Numeri quadrati
Alcune operazioni con i numeri quadrati
Quadrati esprimibili come somma di due numeri quadrati
Numeri esprimibili come somma di numeri quadrati
Somma di numeri quadrati
Numeri pentagonali
Relazioni tra numeri pentagonali, triangolari e quadrati
Somma dei numeri pentagonali
Stabilire se un numero è pentagonale
Numeri esagonali
Relazioni tra numeri esagonali e triangolari
Altri numeri poligonali
Quadrati esprimibili come somma di due numeri quadrati
Pitagora dimostrò che esistono infiniti numeri quadrati che sono uguali alla somma di due numeri quadrati. Ad esempio:
32 + 42 = 52 → 9 + 16 = 25 → Q3 + Q4 = Q5
62 + 82 = 102 → 36 + 64 = 100 → Q6 + Q8 = Q10
92 + 122 = 152 → 81 + 144 = 225 → Q9 + Q12 = Q15Questo è il più famoso teorema della matematica e venne espresso in termini geometrici: il quadrato costruito sull'ipotenusa di un triangolo rettangolo è equivalente alla somma dei quadrati costruiti sui cateti:
![]()
Esiste una formula che consente di trovare due numeri quadrati la cui somma sia un numero quadrato. Vediamo come questa formula è stata ottenuta.
Per passare dal numero quadrato Q3 al successivo numero quadrato Q4 bisogna aggiungere 2x3+1=7 punti. In particolare bisogna aggiungere una riga di tre punti, una colonna di tre punti e un punto posto tra la riga e la colonna.
![]()
In generale per passare dall'n-esimo numero quadrato al successivo bisogna aggiungere un numero dispari di punti equivalenti a 2n+1 punti. I 2n+1 punti formano una squadra a forma di L capovolta chiamata gnomone. Costruiamo la tabella che mette in relazione due numeri quadrati successivi e il corrispondente gnomone.
n2 gnomone 2n+1 (n+1)2 12 3 22 22 5 32 32 7 42 42 9 52 52 11 62 62 13 72 72 15 82 82 17 92 92 19 102 102 21 112 112 23 122 122 25 132 Come si può osservare, in alcuni casi anche lo gnomone è un numero quadrato, e quando ciò accade si hanno tre numeri quadrati:
42 + 9 = 52 → 42 + 32 = 52
122 + 25 = 132 → 122 + 52 = 132Per ogni riga della tabella esiste la relazione:
n2 + 2n + 1 = (n + 1)2
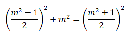
e si ha una terna di quadrati quando il numero 2n+1, che rappresenta lo gnomone, è a sua volta un numero quadrato. Se 2n+1 è un numero quadrato possiamo scrivere l'uguaglianza:
2n + 1 = m2
dalla quale si ottengono le due uguaglianze:
n = (m2 - 1) : 2 e n + 1 = (m2 + 1) : 2
Pertanto la relazione iniziale diventa:
![]()
Questa formula attribuita ai Pitagorici permette di determinare le terne di quadrati assegnando a m valori dispari maggiori di 1.
m [(m2-1):2]2 m2 [(m2+1):2]2 3 16 9 25 5 144 25 169 7 576 49 625 9 1600 81 1681 11 3600 121 3721 Con un procedimento simile è possibile ottenere una formula che consente di determinare le terne di quadrati assegnando a m valori pari maggiori di 4. Per passare direttamente dal numero quadrato Q2 al numero quadrato Q4 bisogna aggiungere dodici punti (2x2+1)+(2x3+1)=12 punti.
![]()
Se osserviamo la figura per passare da Q2 a Q4 bisogna aggiungere due gnomoni successivi di ampiezza 1 che formano un gnomone di ampiezza 2 che contiene 4x2+4 punti. In generale per passare da Qn a Qn+2 bisogna aggiungere 4n+4 punti. Costruiamo la tabella che mette in relazione i due numeri quadrati Qn e Qn+2 con il corrispondente gnomone di ampiezza 2.
n2 gnomone 4n+n (n+2)2 12 8 32 22 12 42 32 16 52 42 20 62 52 24 72 62 28 82 72 32 92 82 36 102 In alcuni casi anche lo gnomone di ampiezza 2 è un numero quadrato, e quando ciò accade si hanno tre numeri quadrati:
32 + 16 = 52 → 32 + 42 = 52
82 + 36 = 102 → 82 + 62 = 102Per ogni riga della tabella esiste la relazione:
n2 + 4n + 4 = (n + 2)2
e si ha una terna di quadrati quando il numero 4n+4, che rappresenta lo gnomone di ampiezza 2, è a sua volta un numero quadrato. Se 4n+4 è un numero quadrato possiamo scrivere l'uguaglianza:
4n + 4 = m2
dalla quale si ottengono le due uguaglianze:
n = (m2 - 4) : 4 e n + 2 = (m2 + 4) : 2
Pertanto la relazione iniziale diventa:
![]()
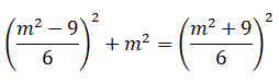
Questa formula attribuita a Platone permette di determinare le terne di quadrati assegnando a m valori pari maggiori di 4.
m [(m2-4):4]2 m2 [(m2+4):4]2 4 9 16 25 6 64 36 100 8 225 64 289 10 576 100 676 12 1225 144 1369 Proseguendo se al numero quadrato Q2 aggiungiamo uno gnomone di ampiezza 3 si ottiene il numero quadrato Q5 e applicando lo stesso procedimento dei due casi precedenti si arriva alla formula della terna di quadrati:
![]()
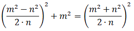
Se tale formula è messa nel seguente modo:
![]()
Si può intuire che è vera in generale la formula:
![]()
Ora, se moltiplichiamo entrambi i membri, di quest'ultima relazione, per 4n2 si ottiene:
![]()
Ad esempio per m=2 e n=1 si ottiene la terna 9, 16. 25 per m=3 e n= 2 si ottiene la terna 25, 144, 169. Questa formula è stata attribuita a Euclide che ne diede due dimostrazioni.