Indice
Numeri triangolari
Alcune relazioni tra i numeri triangolari
Alcune applicazioni dei numeri triangolari
Il triangolo di Pascal e i numeri triangolari
Alcuni numeri triangolari sono perfetti
Somma di numeri triangolari
Numeri quadrati
Alcune operazioni con i numeri quadrati
Quadrati esprimibili come somma di due numeri quadrati
Numeri esprimibili come somma di numeri quadrati
Somma di numeri quadrati
Numeri pentagonali
Relazioni tra numeri pentagonali, triangolari e quadrati
Somma dei numeri pentagonali
Stabilire se un numero è pentagonale
Numeri esagonali
Relazioni tra numeri esagonali e triangolari
Altri numeri poligonali
Somma di numeri quadrati
Vediamo come è possibile ottenere una formula che ci permette di determinare la somma di n numeri quadrati senza dover eseguire n somme. Consideriamo la relazione tra il quadruplo di un numero quadrato e due numeri triangolari:
4Q1 = T1 + T2 = 1 + 3 = 4
![]()
Proseguendo:
4Q2 = T3 + T4 = 6 + 10 = 16
![]()
4Q3 = T5 + T6 = 15 + 21 = 36![]()
Si intuisce che:
4Qn = T2n-1 + T2n
Ora se sommiamo tutti i quadrupli dei numeri quadrati si ha:
4Q1 + 4Q2 + ... + 4Qn = T1 + T2 + ... + T2n
Cioè
4(1 + 4 + 9 + ... + n2) = T1 + T2 + ... + T2n
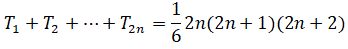
e tenendo conto della formula che esprime la somma dei numeri triangolari vista precedentemente si ha che la somma di 2n numeri triangolari è:
![]()
Possiamo allora scrivere:
![]()
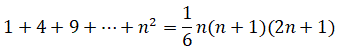
e semplificando si ha:
![]()