Indice
Numeri triangolari
Alcune relazioni tra i numeri triangolari
Alcune applicazioni dei numeri triangolari
Il triangolo di Pascal e i numeri triangolari
Alcuni numeri triangolari sono perfetti
Somma di numeri triangolari
Numeri quadrati
Alcune operazioni con i numeri quadrati
Quadrati esprimibili come somma di due numeri quadrati
Numeri esprimibili come somma di numeri quadrati
Somma di numeri quadrati
Numeri pentagonali
Relazioni tra numeri pentagonali, triangolari e quadrati
Somma dei numeri pentagonali
Stabilire se un numero è pentagonale
Numeri esagonali
Relazioni tra numeri esagonali e triangolari
Altri numeri poligonali
Numeri esagonali
Un numero esagonale è un numero naturale che rappresentato mediante punti forma un esagono. Ad esempio, i primi quattro numeri esagonali sono 1, 6, 15, 28:
![]()
Esiste una relazione tra i numeri esagonali e i numeri triangolari: ogni numero esagonale si può ottenere come somma di quattro numeri triangolari. Ad esempio, il terzo numero esagonale E3 può essere ottenuto come somma tra il numero triangolare T3 e i tre numeri triangolari T2:
E3 = T3 + 3T2
![]()
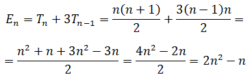
In generale, un numero esagonale En si ottiene sommando il numero triangolare Tn con tre numeri triangolari Tn-1:
En = Tn + 3Tn-1
Questa relazione tra numeri esagonali e numeri triangolari permette di poter determinare una formula generale per calcolare l'n-esimo numero esagonale senza ricorrere ai numeri triangolari:
![]()
Ad esempio:
E10 = 2 ⋅ 102 - 10 = 190
Ogni numero esagonale si può ottenere anche con la somma di una progressione aritmetica:
![]()
E1=1, E2=1+5=6, E3=1+5+9=15, E4=1+5+9+13=28 e in generale:
En = 1 + 5 + 9 + ... + 4n-3
Nella successione 1, 5, 9, 13, 17, ... la differenza tra un termine e il suo precedente è sempre 4. Ogni numero esagonale si ottiene, quindi, sommando i termini di una progressione aritmetica di ragione 4 a partire da 1. Per calcolare la somma della progressione si utilizza la solita formula in cui la media fra primo e l'ultimo termine è moltiplicata per il numero dei termini.
En = 1 + 5 + 9 + ... + 4n-3 = n(1+4n-3): 2 = n(4n-2) : 2 = 2n2 - n
Come si vede si è ottenuta, con un procedimento diverso, la stessa formula generale.
Cauchy dimostrò che ogni numero naturale, se non è esso stesso un numero esagonale, può essere scritto come somma di al massimo sei numeri esagonali, eventualmente ripetuti. Ad esempio:
101 = 1 + 1 + 1 + 1 + 6 + 91