Indice
Numeri triangolari
Alcune relazioni tra i numeri triangolari
Alcune applicazioni dei numeri triangolari
Il triangolo di Pascal e i numeri triangolari
Alcuni numeri triangolari sono perfetti
Somma di numeri triangolari
Numeri quadrati
Alcune operazioni con i numeri quadrati
Quadrati esprimibili come somma di due numeri quadrati
Numeri esprimibili come somma di numeri quadrati
Somma di numeri quadrati
Numeri pentagonali
Relazioni tra numeri pentagonali, triangolari e quadrati
Somma dei numeri pentagonali
Stabilire se un numero è pentagonale
Numeri esagonali
Relazioni tra numeri esagonali e triangolari
Altri numeri poligonali
Alcuni numeri triangolari sono perfetti
Un numero è chiamato perfetto se è uguale alla somma di tutti i suoi divisori escluso il numero stesso. Ad esempio 6 è un numero perfetto perchè i suoi divisori sono 1, 2, 3, 6 e:
1 + 2 + 3 = 6
Il secondo numero perfetto è 28. I divisori di 28 sono 1, 2, 4, 7, 14, 28 e:
1 + 2 + 4 + 7 + 14 = 28
Il terzo numero perfetto è 496. I divisori di 496 sono 1, 2, 4, 8, 16, 31, 62, 124, 248, 496 e:
1 + 2 + 4 + 8 + 16 + 31 + 62 + 124 + 248 = 496
Il quarto numero perfetto è 8128. I divisori propri di 8128 sono 1, 2, 4, 8, 16, 32, 64, 127, 254, 508, 1016, 2032, 4064, 8128 e:
1+2+4+8+16+32+64+127+254+508+1016+2032+4064 = 8128
Nell'insieme dei numeri naturali i numeri perfetti sono rari (nei primi 10.000 numeri naturali ci sono solo 4 numeri perfetti) e la loro particolare proprietà li ha resi affascinanti e allo stesso tempo famosi. I primi quattro numeri perfetti erano già noti ai Pitagorici che avevano notato che le potenze di 2 non erano numeri perfetti, ma la somma dei loro divisori (escluso il numero stesso) era sempre inferiore di una unità al numero stesso:
4 ha per divisori 1, 2, 4 e 1+2=3;
8 ha per divisori 1, 2, 4, 8 e 1+2+4 = 7;
16 ha per divisori 1, 2, 4, 8, 16 e 1+2+4+8 = 15Euclide dimostrò una formula per ottenere i numeri perfetti. Osservando il seguente schema:
![]()
Intuí che l'espressione:
![]()
fornisce un numero perfetto se (2k - 1) è un numero primo. Ora, sorge una domanda: Per quali valori di k il termine (2k - 1) è un numero primo? All'inizio fu fatta l'ipotesi che (2k - 1) è un numero primo se k è a sua volta un numero primo. Questa condizione si rivelò necessaria ma non sufficiente perchè 11 è un numero primo ma
211 - 1 = 2047 = 23 ⋅ 89
non è un numero primo. Invece 13 è un numero primo e
213 - 1 = 8191
è primo e
212(213 - 1) = 33550336
è il quinto numero perfetto. Eulero dimostrò che ogni numero perfetto pari e della forma
2p-1(2p - 1)
con p primo. I numeri primi della forma (2p - 1) sono chiamati numeri di Marsenne.
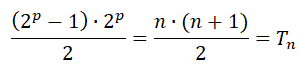
Tutti i numeri perfetti sono numeri triangolari. Vediamo una semplice dimostrazione:
Consideriamo un numero perfetto nella sua forma 2p-1(2p - 1). Il primo fattore 2p-1 può essere scritto anche in un altro modo equivalente:2p-1 = 2p : 2
e quindi il numero perfetto può essere scritto anche nellla forma:
(2p - 1) ⋅ 2p : 2
Ora ponendo (2p - 1) = n si ha che 2p = n + 1 e quindi si ha l'uguaglianza:
![]()
Ad esempio:
6 = 21(22 - 1) = 2 ⋅ 3 = T3
28 = 22(23 - 1) = 4 ⋅ 7 = T7
496 = 24(25 - 1) = 16 ⋅ 31 = T31
8128 = 26(27 - 1) = 64 ⋅ 127 = T127Non si sà se i numeri perfetti siano infiniti nè se esistono numeri perfetti dispari. Attualmente si conoscono 54 numeri perfetti. La ricerca dei numeri perfetti non è semplice basta pensare che il l'ultimo numero perfetto è formato da
44 677 235 cifre