Indice
Numeri triangolari
Alcune relazioni tra i numeri triangolari
Alcune applicazioni dei numeri triangolari
Il triangolo di Pascal e i numeri triangolari
Alcuni numeri triangolari sono perfetti
Somma di numeri triangolari
Numeri quadrati
Alcune operazioni con i numeri quadrati
Quadrati esprimibili come somma di due numeri quadrati
Numeri esprimibili come somma di numeri quadrati
Somma di numeri quadrati
Numeri pentagonali
Relazioni tra numeri pentagonali, triangolari e quadrati
Somma dei numeri pentagonali
Stabilire se un numero è pentagonale
Numeri esagonali
Relazioni tra numeri esagonali e triangolari
Altri numeri poligonali
Numeri quadrati
Un numero quadrato è un numero naturale che rappresentato mediante punti forma un quadrato. Ad esempio, i primi quattro numeri quadrati sono 1, 4, 9, 16:
![]()
In generale un numero quadrato Qn si ottiene elevando al quadrato n; Qn = n2:
Q1 = 12 = 1; Q2 = 22 = 4; Q3 = 32 = 9; Q4 = 42 = 16
Q5 = 52 = 25; Q6 = 62 = 36; Q7 = 72 = 49; Q8 = 82 = 64Un numero quadrato si può ottenere anche sommando numeri naturali dispari.
![]()
Q1=1, Q2=1+3=4, Q3=1+3+5=9, Q4=1+3+5+7=16 e cosí via.
In generale l'n-esimo numero quadrato si ottiene sommando i primi n numeri dispari:
Qn = 1 + 3 + 5 + 7 + ... + (2n - 1) = n2
Da questa formula si intuisce che è possibile calcolare un numero quadrato conoscendo quello precedente:
Qn = Qn-1 + (2n - 1) = (n - 1)2 + 2n - 1 = n2
Ad esempio:
Q7 = Q6 + (2x7 - 1) = 36 + 13 = 49
In altre parole un numero quadrato si ottiene sommando i termini di una progressione aritmetica di ragione 2 a partire da 1. Per calcolare la somma della progressione si utilizza la solita formula in cui la media fra primo e l'ultimo termine è moltiplicata per il numero dei termini.
Qn = 1 + 3 + 5 + ... + 2n-1 = n(1+2n-1): 2 = n2
Un numero quadrato si può ottenere anche sommando due numeri triangolari consecutivi:
![]()
In generale:
Qn = Tn + Tn-1
Giustificazione algebrica:
![]()
Anche Diofanto studiò i numeri poligonali e dimostrò che l'ottuplo di un numero triangolare aumentato di 1 è sempre un numero quadrato dispari.
Giustificazione geometrica: Ad esempio, 8 ⋅ T3 + 1 = Q7 = 49
![]()
Giustificazione algebrica:
![]()
In generale:
Q2n-1 = 8 ⋅ Tn + 1
Da questa proprietà si deduce:
Ogni numero quadrato dispari diviso per otto dà resto 1.
Per riconoscere se un numero è triangolare lo si moltiplica per 8 e poi si aggiunge 1 al prodotto; se il risultato è numero quadrato il numero iniziale è un numero triangolare.
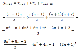
Un numero quadrato dispari è sempre uguale alla somma di otto numeri triangolari. Ad esempio il numero quadrato Q11
![]()
si può ottenere dalla somma:
Q11 = T4 + 6 ⋅ T5 + T6
In generale:
Q2n+1 = Tn-1 + 6 ⋅ Tn + Tn+1
Giustificazione algebrica:
![]()