Indice
Numeri triangolari
Alcune relazioni tra i numeri triangolari
Alcune applicazioni dei numeri triangolari
Il triangolo di Pascal e i numeri triangolari
Alcuni numeri triangolari sono perfetti
Somma di numeri triangolari
Numeri quadrati
Alcune operazioni con i numeri quadrati
Quadrati esprimibili come somma di due numeri quadrati
Numeri esprimibili come somma di numeri quadrati
Somma di numeri quadrati
Numeri pentagonali
Relazioni tra numeri pentagonali, triangolari e quadrati
Somma dei numeri pentagonali
Stabilire se un numero è pentagonale
Numeri esagonali
Relazioni tra numeri esagonali e triangolari
Altri numeri poligonali
Numeri pentagonali
Un numero pentagonale è un numero naturale che rappresentato mediante punti forma un pentagono. Ad esempio, i primi quattro numeri pentagonali sono 1, 5, 12, 22:
![]()
Esiste una relazione tra i numeri pentagonali e i numeri triangolari: ogni numero pentagonale si può ottenere come somma di tre numeri triangolari. Ad esempio, il quarto numero pentagonale P4 può essere ottenuto come somma tra il numero triangolare T4 e i due numeri triangolari T3:
P4 = T4 + 2T3
![]()
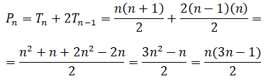
In generale un numero pentagonale Pn si ottiene sommando il numero triangolare Tn con due numeri triangolari Tn-1:
Pn = Tn + 2Tn-1
Questa relazione tra numeri pentagonali e numeri triangolari permette di poter determinare una formula generale per calcolare l'n-esimo numero pentagonale senza ricorrere ai numeri triangolari:
![]()
Ad esempio:
P10 = 10(3⋅10-1) : 2 = 145
Ogni numero pentagonale si può ottenere anche con la somma di una progressione aritmetica:
![]()
P1=1, P2=1+4=5, P3=1+4+7=12, P4=1+4+7+10=22 e in generale:
Pn = 1 + 4 + 7 + ... + 3n-2
Nella successione 1, 4, 7, 10, 13, ... la differenza tra un termine e il suo precedente è sempre 3. Ogni numero pentagonale si ottiene, quindi, sommando i termini di una progressione aritmetica di ragione 3 a partire da 1. Per calcolare la somma della progressione si utilizza la solita formula in cui la media fra primo e l'ultimo termine è moltiplicata per il numero dei termini.
Pn = 1 + 4 + 7 + ... + 3n-2 = n(1+3n-2): 2 = n(3n-1) : 2
Come si vede si è ottenuta, con un procedimento diverso, la stessa formula generale.
Cauchy dimostrò che ogni numero naturale, se non è esso stesso un numero pentagonale, può essere scritto come somma di, al massimo, cinque numeri pentagonali, eventualmente ripetuti. Ad esempio,
69 = 1 + 5 + 12 + 51; 89 = 1 + 1 + 5 + 12 + 70