Indice
Numeri triangolari
Alcune relazioni tra i numeri triangolari
Alcune applicazioni dei numeri triangolari
Il triangolo di Pascal e i numeri triangolari
Alcuni numeri triangolari sono perfetti
Somma di numeri triangolari
Numeri quadrati
Alcune operazioni con i numeri quadrati
Quadrati esprimibili come somma di due numeri quadrati
Numeri esprimibili come somma di numeri quadrati
Somma di numeri quadrati
Numeri pentagonali
Relazioni tra numeri pentagonali, triangolari e quadrati
Somma dei numeri pentagonali
Stabilire se un numero è pentagonale
Numeri esagonali
Relazioni tra numeri esagonali e triangolari
Altri numeri poligonali
Somma di numeri triangolari
Esiste una formula che ci consente di determinare la somma di n numeri triangolari senza dover eseguire le n somme?
1 + 3 + 6 + 10 + 15 + 21 + 28 + 36 + 45 + 55 + 66 + ... + n = ?
La successione dei numeri triangolari non formano una progressione aritmetica perchè la differenza tra due numeri triangolari successivi non è costante e quindi non possiamo applicare la formula che permette di sommare i termini di una progressione. Possiamo però utilizzare una particolare relazione tra i numeri triangolari.
![]()
proseguendo si ha:
3(T1 + T2 + T3 + T4) = (4 + 2)T4
....................................................
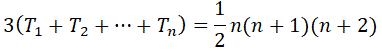
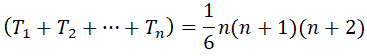
3(T1 + T2 + ... + Tn) = (n + 2)TnSappiamo che Tn = n(n+1) : 2 e quindi l'uguaglianza precedente diventa:
![]()
e dividendo entrambi i membri per 3 si ottiene:
![]()
Ad esempio, la somma dei primi cento numeri triangolari è:
100 ⋅ 101 ⋅ 102 : 6 = 171700
La somma di n numeri triangolari è sempre un numero naturale pertanto la formula n(n+1)(n+2):6 ci assicura che il prodotto di tre numeri naturali consecutivi è sempre divisibile per 6.