Indice
Numeri triangolari
Alcune relazioni tra i numeri triangolari
Alcune applicazioni dei numeri triangolari
Il triangolo di Pascal e i numeri triangolari
Alcuni numeri triangolari sono perfetti
Somma di numeri triangolari
Numeri quadrati
Alcune operazioni con i numeri quadrati
Quadrati esprimibili come somma di due numeri quadrati
Numeri esprimibili come somma di numeri quadrati
Somma di numeri quadrati
Numeri pentagonali
Relazioni tra numeri pentagonali, triangolari e quadrati
Somma dei numeri pentagonali
Stabilire se un numero è pentagonale
Numeri esagonali
Relazioni tra numeri esagonali e triangolari
Altri numeri poligonali
Altri numeri poligonali
Applicando gli stessi procedimenti visti per i numeri triangolari, quadrati, pentagonali e esagonali possiamo facilmente determinare i numeri poligonali successivi (ettagonali, ottagonali, ennagonali, decagonali, ...).
Metodo delle progressioni aritmetiche.
Abbiamo visto che un numero poligonale di n lati si ottiene sommando i termini di una data progressione aritmetica:
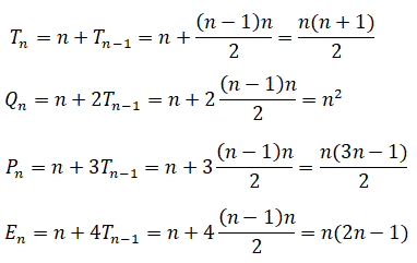
Tn = 1+2+3+4+...+n = progressione aritmetica di ragione 1 = n(n+1)/2
Qn = 1+3+5+7+...+(2n-1) = progressione aritmetica di ragione 2 = n2
Pn = 1+4+7+10+...+(3n-2) = progressione aritmetica di ragione 3 = n(3n-1)/2
En = 1+5+9+13+...+(4n-3) = progressione aritmetica di ragione 4 = n(2n-1)
Dagli esempi precedenti si intuisce che un generico numero poligonale di n lati si ottiene sommando i termini di una progressione aritmetica avente come primo termine 1 e ragione il numero n dei lati del poligono meno 2. Pertanto:
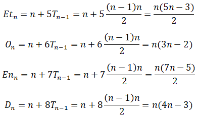
L'n-esimo numero ettagonale si ottiene sommando i termini di una progressione aritmetica di ragione 5:
Etn = 1+6+11+16+...+(5n-4) = n(5n-3)/2
L'n-esimo numero ottagonale si ottiene sommando i termini di una progressione aritmetica di ragione 6:
On = 1+7+13+19+...+(6n-5) = n(6n-4)/2
L'n-esimo numero ennagonale si ottiene sommando i termini di una progressione aritmetica di ragione 7:
Enn = 1+8+15+22+...+(7n-6) = n(7n-5)/2
L'n-esimo numero decagonale si ottiene sommando i termini di una progressione aritmetica di ragione 8:
Dn = 1+9+17+25+...+(8n-7) = n(4n-3)
La seguente tabella riassume quanto visto:
![]()
Metodo geometrico.
Osserviamo la figura:
![]()
Che cosa si deduce?
Ogni numero poligonale di indice n è uguale alla somma tra n e (n-2) volte il numero triangolare di indice immediatamente inferiore.
![]()
Continuando si ha:
![]()