Indice
Numeri triangolari
Alcune relazioni tra i numeri triangolari
Alcune applicazioni dei numeri triangolari
Il triangolo di Pascal e i numeri triangolari
Alcuni numeri triangolari sono perfetti
Somma di numeri triangolari
Numeri quadrati
Alcune operazioni con i numeri quadrati
Quadrati esprimibili come somma di due numeri quadrati
Numeri esprimibili come somma di numeri quadrati
Somma di numeri quadrati
Numeri pentagonali
Relazioni tra numeri pentagonali, triangolari e quadrati
Somma dei numeri pentagonali
Stabilire se un numero è pentagonale
Numeri esagonali
Relazioni tra numeri esagonali e triangolari
Altri numeri poligonali
Somma dei numeri pentagonali
Utilizzando la relazione Pn = n + 3Tn-1 possiamo determinare la formula che ci consente di calcolare la somma di n numeri pentagonali senza dover eseguire n somme.
P1 = 1 + 3T0
P2 = 2 + 3T1
P3 = 3 + 3T2
P4 = 4 + 3T3
P5 = 5 + 3T1
.............................
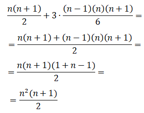
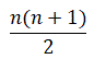
Pn = n + 3Tn-1La somma dei numeri pentagonali è quindi uguale alla somma dei numeri naturali da 1 a n più la somma dei numeri triangolari da T1 a Tn-1 moltiplicati per 3. Ora, la somma dei numeri naturali da 1 a n è:
![]()
E la somma dei numeri triangolari da T1 a Tn-1 moltiplicati per 3 è:
![]()
Sommando questi due addendi si ha:
![]()
Ad esempio, la somma dei primi dieci numeri pentagonali è:
![]()