Indice
L'estensione del concetto di numero
Numeri complessi
Rappresentazione geometrica dei numeri complessi
Operazioni in C: addizioni e sottrazioni
Operazioni in C: moltiplicazioni e divisioni
Forma trigonometrica di un numero complesso
Operazioni tra numeri complessi in forma trigonometrica
Potenza di un numero complesso: teorema di De Moivre
Radici n-esime di un numero complesso
Radici n-esime complesse dell'unità
I numeri complessi in forma esponenziale
I numeri complessi e le formule di Eulero
Le equazioni di secondo grado in C
Le equazioni di terzo grado in C
Il teorema fondamentale dell'algebra
Fattorizzazione di un polinomio in R
Logaritmi nell'insieme dei numeri complessi
Radici n-esime complesse dell'unità
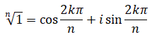
Nell'insieme C le radici n-esime complesse dell'unità cioè le radici n-esime di z=1+0i hanno un ruolo particolare, vediamo perchè? La forma trigonometrica dell'unità è:
cos 0 + isin 0
e le radici n-esime si ottengono mediante la formula:
![]()
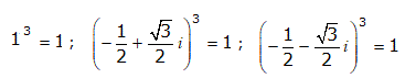
Per n = 3 si ottengono le tre radici cubiche complesse:
![]()
e si può facilmente verificare che:
![]()
I punti che rappresentano le radici cubiche di 1 nel piano di Gauss si trovano ai vertici di un triangolo equilatero di lato √3 e avente uno dei suoi vertici nel punto z=1 (da notare che questa è l'unica radice cubica dell'unità nell'insieme R).
![]()
Per n = 4 si ottengono le quattro radici quarte complesse:
![]()
Anche in questo caso è immediato fare una verifica diretta:
![]()
I punti che rappresentano le radici quarte di 1 nel piano di Gauss si trovano ai vertici di un quadrato di lato √2 e avente due dei suoi vertici nei punto z=1 e z=-1 (da notare che queste sono le uniche radici quarte dell'unità nell'insieme R).
![]()
In generale:
Nell'insieme C vi sono esattamente n diverse radici n-esime complesse dell'unità che nel piano di Gauss si dispongono ai vertici di un poligono regolare di n lati inscritto nella circonferenza con centro nell'origine e raggio 1. Inoltre il poligono regolare ha uno dei suoi vertici nel punto z=1.
Una volta note le radici terze complesse dell'unità è facile determinare le radici terze complesse di qualsiasi numero reale a; se infatti indichiamo con z1, z2, z3 le radici terze complesse dell'unità allora le radici terze di a sono:
![]()
Ad esempio le tre radici terze di 3 sono:
![]()
Cioè
![]()
![]()
Come si vede dalla figura si passa, nel piano di Gauss, dalle radici cubiche di 1 alle radici cubiche di 3 con un ingrandimento che conserva la forma e la direzione. Il triangolo equilatero più piccolo si trasforma in un triangolo più grande e si conserva la direzione di lati corrispondenti. Una trasformazione di questo tipo è detta omotetia.
In generale se n è un numero intero dispari e maggiore di 1:
Le radici n-esime complesse di un numero reale a non nullo si ottengono moltiplicando il numero
![]()
per le radici n-esime complesse dell'unità.
Una volta note le radici quarte complesse dell'unità è facile determinare le radici quarte complesse di qualsiasi numero reale positivo a; se infatti indichiamo con z1, z2, z3, z4 le radici quarte complesse dell'unità allora le radici quarte di a sono:
![]()
Ad esempio le quattro radici quarte di 16 sono:
![]()
![]()
Analogamente anche nel secondo esempio si passa, nel piano di Gauss, dalle radici quarte di 1 alle radici quarte di 16 con un ingrandimento che conserva la forma e la direzione. Il quadrato più piccolo si trasforma in un quadrato più grande e si conserva la direzione di lati corrispondenti.
In generale se se n è un numero intero pari e maggiore o uguale a 2:
Le radici n-esime complesse di un numero reale positivo a non nullo si ottengono moltiplicando il numero
![]()
per le radici n-esime complesse dell'unità.
Una volta note le radici n-esime complesse dell'unità si possono determinare le radici n-esime complesse di qualsiasi numero complesso w conoscendo almeno una radice n-esima di w; se infatti indichiamo con z1, z2, ..., zn le radici n-esime complesse dell'unità e con w1 una radice complessa di w allora le radici n-esime di w sono:z1 ⋅ w1, z2 ⋅ w1, ..., zn ⋅ w1
Infatti:
(z1 ⋅ w1)n = (z1)n ⋅ (w1)n = 1 ⋅ w
(z2 ⋅ w1)n = (z2)n ⋅ (w1)n = 1 ⋅ w
(zn ⋅ w1)n = (zn)n ⋅ (w1)n = 1 ⋅ w
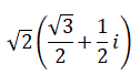
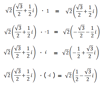
Ad esempio una delle radici quarte complesse di w = -2 + 2i è:
![]()
e le radici quarte complesse dell'unità sono 1, -1, i, -i e quindi le quattro radici quarte complesse di w sono:
![]()
Pertanto per calcolare le radici n-esime di un numero complesso non nullo basterebbe calcolarne una sole e ottenere le altre da questa moltiplicandola per le radici n-esime dell'inità.