Indice
L'estensione del concetto di numero
Numeri complessi
Rappresentazione geometrica dei numeri complessi
Operazioni in C: addizioni e sottrazioni
Operazioni in C: moltiplicazioni e divisioni
Forma trigonometrica di un numero complesso
Operazioni tra numeri complessi in forma trigonometrica
Potenza di un numero complesso: teorema di De Moivre
Radici n-esime di un numero complesso
Radici n-esime complesse dell'unità
I numeri complessi in forma esponenziale
I numeri complessi e le formule di Eulero
Le equazioni di secondo grado in C
Le equazioni di terzo grado in C
Il teorema fondamentale dell'algebra
Fattorizzazione di un polinomio in R
Logaritmi nell'insieme dei numeri complessi
I numeri complessi in forma esponenziale
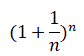
Il matematico scozzese John Napier notò che l'espressione:
![]()
tende ad assumere un valore finito irrazionale quando ad n vengono assegnati dei valori naturali molto grandi.
![]()
A questo valore è stato dato il nome di numero di Nepero e indicato con il simbolo e
e = 2,718281...
Il numero e fu studiato da Eulero che mettendo insieme queste tre formule
![]()
e ponendo
x = iΘ
cioè dando a x un valore immaginario puro pervenne alla formula:
eiΘ = cos Θ + isin Θ
Ora, se si utilizza la formula di Eulero e la forma trigonometrica di un numero complesso:
z = r(cos Θ + isin Θ)
si ottiene per sostituzione:
z = reiΘ
detta forma esponenziale di un numero complesso dove r è il modulo di z, e è il numero di Nepero, i è l'unità immaginaria e Θ è l'argomento di z. I numeri complessi, possono quindi essere rappresentati oltre che in forma algebrica e trigonometrica anche in forma esponenziale:
![]()
Ad esempio:
![]()
![]()
Vediamo come รจ possibile passare dalla forma algebrica alla forma esponenziale e viceversa
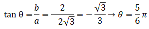
Esempio 1: Scriviamo il numero complesso z = -2√3 + 2i in forma esponenziale.
Calcoliamo il modulo r:
![]()
Essendo la parte reale negativa e quella immaginaria positiva, nel piano di Gauss, l'immagine di z appartiene al secondo quadrante e quindi l'angolo Θ devrà essere:
![]()
Calcoliamo l'angolo Θ:
![]()
Pertanto la forma esponenziale di z = -2√3 + 2i è
![]()
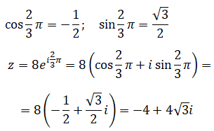
Esempio 2: Scriviamo il numero complesso
![]()
in forma algebrica.
Essendo:
![]()
si ha:
![]()
Esempio 3: Scriviamo il numero complesso 5 in forma esponenziale.
Essendo r = 5 e Θ = 0 si ha:
5 = 5ei0
Esempio 4: Scriviamo il numero complesso -3 in forma esponenziale.
Essendo r = 3 e Θ = Π si ha:
-3 = 3eiΠ
Esempio 5: Scriviamo il numero complesso -i in forma esponenziale.
Essendo:
![]()
Si ha:
![]()
Il coniugato del numero complesso z = reiΘ è:
![]()
Infatti:
![]()
Esempio 6: Scriviamo in forma esponenziale il coniugato di z = √3 +i.
Scriviamo z in forma esponenziale:
![]()
Pertanto il coniugato di z è:
![]()
La forma esponenziale di un numero complesso presenta molti vantaggi rispetto alle altre due forme:
è più compatta;
è immediato conoscere il modulo e l'argomento del numero;
è facile rappresentarne l'immagine nel piano di Gauss;
è particolarmente agevole per eseguire le operazioni di: moltiplicazione, divisione e elevamento a potenza.
Quando i numeri complessi sono espressi in forma esponenziali possiamo eseguire le operazioni di moltiplicazione, divisione e elevamento a potenza applicando le proprietà delle potenze. Vediamo con degli esempi.
Moltiplicazione di due numeri complessi in forma esponenziale:
Dati due numeri complessi:z = r1eiΘ1;   w = r2eiΘ2
Il loro prodotto z ⋅ w è il numero complesso:
z ⋅ w = r1r2ei(Θ1+Θ2)
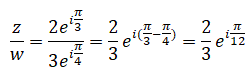
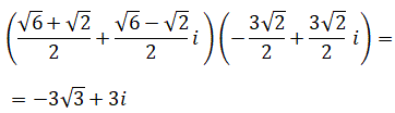
Esempio 7: Calcoliamo il prodotto tra i due numeri complessi espressi in forma esponenziali:
![]()
Eseguendo il prodotto si ha:
![]()
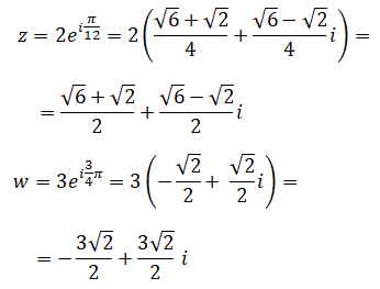
Vediamo con una verifica che si ottiene lo stesso risultato operando con gli stessi numeri in forma algebrica.
Passiamo dalla forma esponenziale alla forma algebrica:
![]()
Moltiplichiamo i due numeri:
![]()
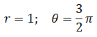
Divisione di due numeri complessi in forma esponenziale:
Dati due numeri complessi:z = r1eiΘ1;   w = r2eiΘ2
Il loro Quoziente z : w è il numero complesso:
z : w = (r1 : r2)ei(Θ1-Θ2)
Esempio 8: Calcoliamo il quoziente z : w con:
![]()
Eseguendo il quoziente si ha:
![]()
Elevazione alla potenza n-esima di un numero complesso in forma esponenziale:
Dato il numero complesso:z = reiΘ
la sua potenza n-esima è il numero complesso:
zn = rneinΘ
Esempio 9: Calcoliamo il cubo di:
![]()
Eseguendo la potenza si ha:
![]()