Indice
L'estensione del concetto di numero
Numeri complessi
Rappresentazione geometrica dei numeri complessi
Operazioni in C: addizioni e sottrazioni
Operazioni in C: moltiplicazioni e divisioni
Forma trigonometrica di un numero complesso
Operazioni tra numeri complessi in forma trigonometrica
Potenza di un numero complesso: teorema di De Moivre
Radici n-esime di un numero complesso
Radici n-esime complesse dell'unità
I numeri complessi in forma esponenziale
I numeri complessi e le formule di Eulero
Le equazioni di secondo grado in C
Le equazioni di terzo grado in C
Il teorema fondamentale dell'algebra
Fattorizzazione di un polinomio in R
Logaritmi nell'insieme dei numeri complessi
Radici n-esime di un numero complesso
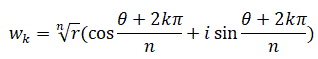
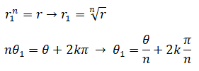
L'operazione inversa dell'elevamento alla potenza n-esima di un numero complesso è l'estrazione della radice di indice n. In altre parole dato un numero complesso
z = r(cos Θ + isin Θ)
una radice n-esima di z è quel numero complesso w tale che elevato all'n-esima potenza risulti uguale a z e cioè:
wn = z.
Le radici n-esime del numero complesso z sono dunque le soluzioni dell'equazione wn = z.
Se w1 = r1(cos Θ1 + isin Θ1) è una radice n-esima di z per il teorema di De Moivre deve risultare:
w1n = r1n(cos nΘ1 + isin nΘ1) = r(cos Θ + isin Θ)
e questa uguaglianza è vera se e solo se i due numeri complessi in forma trigonometrica hanno lo stesso modulo e argomenti che differiscono di 2Π, cioè:
![]()
con k=0, 1, 2, ..., n-1. Pertanto le radici n-esime di z hanno tutte lo stesso modulo mentre, gli argomenti variano al variare di k. La formula che consente di trovare tutte le radici n-esime del numero complesso z è quindi:
![]()
con k=0, 1, 2, ..., n-1 (si può dimostrare che per k > n-1 e per k < 0 si ottengono ciclicamente gli stessi argomenti).
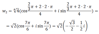
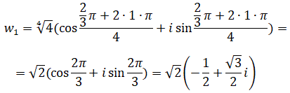
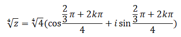
Esempio 1: Determiniamo le radici complesse quarte di z = -2 + 2i:
Scriviamo z nella forma trigonometrica:
![]()
e applichiamo la formula:
![]()
con k = 0, 1, 2, 3.
Per k = 0 si ha:
![]()
Per k = 1 si ha:
![]()
Per k = 2 si ha:
![]()
Per k = 3 si ha:
![]()
Nel piano di Gauss le quattro soluzioni hanno per immagini i vertici di un quadrato inscritto in una circonferenza di raggio r = √2.
![]()
Osserviamo che le radici quarte di un numero complesso sono 4 mentre nell'insieme dei numeri reali le radici quarte di un numero reale maggiore di zero sono 2: per esempio le radici quarte di 16 sono +2 e -2.
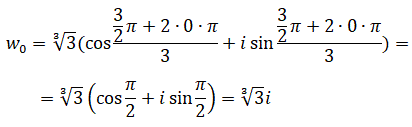
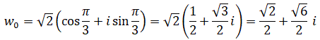
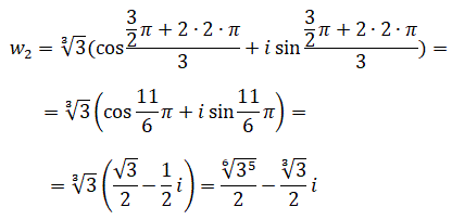
Esempio 2: Determiniamo le radici complesse cubiche di z = -3i:
Scriviamo z nella forma trigonometrica:
![]()
e applichiamo la formula:
![]()
con k = 0, 1, 2.
Per k = 0 si ha:
![]()
Per k = 1 si ha:
![]()
Per k = 2 si ha:
![]()
Nel piano di Gauss le tre soluzioni hanno per immagini i vertici di un trimgolo equilatero inscritto in una circonferenza di raggio
![]()
![]()
Osserviamo che le radici cubiche di un numero complesso sono 3 mentre nell'insieme dei numeri reali la radice cubica di un numero reale è una sola: per esempio la radice cubica di -27 è solo -3.
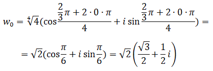
Esempio 3: Determiniamo le radici quadrate complesse di:
![]()
Scriviamo z nella forma trigonometrica:
![]()
e applichiamo la formula:
![]()
con k = 0, 1.
Per k = 0 si ha:
![]()
Per k = 1 si ha:
![]()
Nel piano di Gauss le due soluzioni hanno per immagini gli estremi opposti di un diametro della circonferenza di raggio √2.
![]()
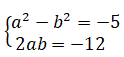
Esempio 4: Determiniamo le radici quadrate complesse di z = -5 -12i:
In questo caso non รจ immediato determinare l'argomento di z essendo:
![]()
Vediamo allora come possiamo determinare un numero complesso w=a+bi il cui quadrato sia uguale a -5 -12i. Cioè:
![]()
E l'uguaglianza è vera se sono uguali rispettivamente le parti reali e le parti immaginarie:
![]()
Risolvendo la seconda equazione rispetto a b e sostituendo tale valore nella prima equazione si ottiene l'equazione risolvente del sistema:
a4 + 5a2 - 36 = 0
che possiamo fattorizzare in:
(a2 - 4))(a2 + 9) = 0
Essendo a un numero reale le uniche soluzioni reali sono a = 2 e a = -2 da cui si ricava b = -3 e b = 3. Le due radici quadrate di z sono quindi:
w0 = -2 + 3i e w1 = 2 - 3i
Nel piano di Gauss le due soluzioni hanno per immagini gli estremi opposti di un diametro della circonferenza di raggio √13.
![]()
In generale:
Nell'insieme C ogni numero complesso z = r(cos Θ + isin Θ) diverso da zero (reale o complesso) ha esattamente n radici n-esime diverse. Pertanto ogni numero ha 2 radici quadrate, tre radici cubiche, quattro radici quarte, cinque radici quinte e così via. Nel piano di Gauss, i punti che rappresentano queste n radici sono tutti disposti su una stessa circonferenza con centro nell'origine e raggio uguale a r1/n. Inoltre per n > 2 questi punti sono vertici di un poligono regolare di n lati inscritto nella circonferenza di raggio r1/n.