Indice
L'estensione del concetto di numero
Numeri complessi
Rappresentazione geometrica dei numeri complessi
Operazioni in C: addizioni e sottrazioni
Operazioni in C: moltiplicazioni e divisioni
Forma trigonometrica di un numero complesso
Operazioni tra numeri complessi in forma trigonometrica
Potenza di un numero complesso: teorema di De Moivre
Radici n-esime di un numero complesso
Radici n-esime complesse dell'unità
I numeri complessi in forma esponenziale
I numeri complessi e le formule di Eulero
Le equazioni di secondo grado in C
Le equazioni di terzo grado in C
Il teorema fondamentale dell'algebra
Fattorizzazione di un polinomio in R
Logaritmi nell'insieme dei numeri complessi
Potenza di un numero complesso: teorema di De Moivre
Le potenze a esponente intero positivo di un numero complesso espresso in forma trigonometrica
zn = [r(cos Θ + isin Θ)]n
si ottengono facilmente applicando ripetutamente la regola del prodotto.
Vediamo come si esguono alcune potenze di z = r(cos Θ + isin Θ):
Calcoliamo z2 = [r(cos Θ + isin Θ)]2:
Essendo z2 = z ⋅ z si ha:
z2 = [r(cos Θ + isin Θ)] ⋅ [r(cos Θ + isin Θ)]
e applicando la regola del prodotto si ottiene:
z2 = [r(cos Θ + isin Θ)] ⋅ [r(cos Θ + isin Θ)] = r2(cos 2Θ + isin 2Θ)
Calcoliamo z3 = [r(cos Θ + isin Θ)]3:
Essendo z3 = z ⋅ z ⋅ z si ha:
z3 = [r(cos Θ + isin Θ)] ⋅ [r(cos Θ + isin Θ)] ⋅ [r(cos Θ + isin Θ)]
e applicando la regola del prodotto si ottiene:
z3 = r3(cos 3Θ + isin 3Θ)
Calcoliamo z4 = [r(cos Θ + isin Θ)]4:
Essendo z4 = z ⋅ z ⋅ z ⋅ z si ha:
z4 = r4(cos 4Θ + isin 4Θ)
In generale, Teorema di De Moivre: La potenza n-esima del numero complesso z = r(cos Θ + isin Θ) ha per modulo la potenza n-esima del modulo di z e per argomento l'argomento di z moltiplicato per n
zn = rn(cos nΘ + isin nΘ)
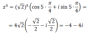
Esempio 1: Dato z = 1 + i calcoliamo z5:
Scriviamo z nella forma trigonometrica:
![]()
e applichiamo la formula di De Moivre:
![]()
Esempio 2: Dato z = 1 - √3 i calcoliamo z3:
Scriviamo z nella forma trigonometrica:
![]()
e applichiamo la formula di De Moivre:
![]()
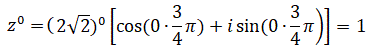
Esempio 3: Dato z = -2 + 2i calcoliamo z0:
Scriviamo z nella forma trigonometrica:
![]()
e applichiamo la formula di De Moivre:
![]()
Esempio 4: Dato z = -3 + 0i calcoliamo z3:
Scriviamo z nella forma trigonometrica:
z = 3(cos Π + isin Π)
e applichiamo la formula di De Moivre:
z3 = 33(cos 3Π + isin 3Π) = -27
Esempio 5: Dato z = 0 + i = i calcoliamo alcune potenze di z:
![]()
E' facile capire che le potenze di i si susseguono, a partire da i0, secondo il ciclo
1, i, -1, -i
Quindi:
![]()
Tutte le potenze di i hanno modulo 1 e nel piano di Gauss si dispongono, ciclicamente, ai quattro vertici di un quadrato. Inoltre, le potenze pari di i sono numeri reali mentre non lo sono quelle dispari.
![]()
Esempio 6: Dato z = 1 + i calcoliamo z5 lasciando z in forma algebrica:
Si applica la stessa regola per il calcolo delle potenze di un binomio nella variabile i:
(1 + i)5=15+5⋅14i+10⋅13i2+10⋅12i3+5⋅1i4+i5
Cioè:
(1 + i)5 = 1 + 5i - 10 - 10i + 5 + i = -4 - 4i
Come si può facilmente intuire, se n è maggiore di 3, lasciando z in forma algebrica il calcolo delle potenze n-esime di z è più laborioso rispetto a quello che utilizza la formula di De Moivre.
Applicando la proprietà |z ⋅ w| = |z| ⋅ |w| si ottiene:
![]()
E in generale si ha:
|zn| = |z|n
La proprietà |zn| = |z|n ha una conseguenza interessante dal punto di vista geometrico: se z ha modulo 1 allora tutte le immagini delle sue potenze devono disporsi, nel piano di Gauss, su una circonferenza con centro nell'origine e raggio unitario. Le immagini delle potenze di z essendo ottenute con delle moltiplicazioni ripetute subiscono sia una rotazione che un'omotetia di fattore 1 per cui hanno distanza 1 dall'origine.
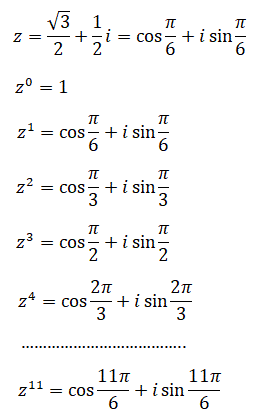
Verifichiamolo con un esempio; consideriamo il numero complesso
![]()
che ha modulo 1. Scriviamo z nella forma trigonometrica e calcoliamo le prime 12 sue potenze:
![]()
Nel piano di Gauss queste 12 potenze di z hanno tutte distanza 1 dall'origine e si dispongono, ciclicamente, ai vertici di un dodecagono regolare (z12 coincide con z0, z13 con z1, z14 con z2 e così via) perchè l'argomento di z in forma trigonometrica è di 30° ed è quindi 1/12 dell'angolo giro.
![]()
Come si dispongono nel piano di Gauss le successive potenze di un numero z se il modulo di z è diverso da 1?
Consideriamo un numero complesso che abbia, ad esempio, il modulo di poco maggiore di 1, ad esempio:
![]()
che ha modulo
![]()
e calcoliamo le prime 21 potenze. Nel piano di Gauss queste potenze di z si dispongono, questa volta, lungo una spirale che si espande sempre più rapidamente. In questo caso i punti corrispondenti ad ogni potenza di z subiscono, oltre alla rotazione, un'omotetia di fattore pari al modulo di z cioè di un fattore pari a 1,09 e quindi la loro distanza dall'origine aumenta continuamente. Per cui se |z|>1 i punti si allontanano indefinitamente dall'origine.
![]()
Naturalmente, se consideriamo le potenze di un numero complesso z il cui modulo sia di poco minore di 1, ad esempio
![]()
Nel piano di Gauss le potenze di z si dispongono, questa volta, lungo una spirale che si avvicina sempre più all'origine.
![]()