Indice
L'estensione del concetto di numero
Numeri complessi
Rappresentazione geometrica dei numeri complessi
Operazioni in C: addizioni e sottrazioni
Operazioni in C: moltiplicazioni e divisioni
Forma trigonometrica di un numero complesso
Operazioni tra numeri complessi in forma trigonometrica
Potenza di un numero complesso: teorema di De Moivre
Radici n-esime di un numero complesso
Radici n-esime complesse dell'unità
I numeri complessi in forma esponenziale
I numeri complessi e le formule di Eulero
Le equazioni di secondo grado in C
Le equazioni di terzo grado in C
Il teorema fondamentale dell'algebra
Fattorizzazione di un polinomio in R
Logaritmi nell'insieme dei numeri complessi
Operazioni in C: moltiplicazioni e divisioni
L'operazione di moltiplicazione fra due numeri complessi si esegue applicando la stessa regola della moltiplicazione fra due binomi nella variabile i tenendo presente che i2 = -1. Pertanto, dati due numeri complessi:
z1 = a + bi   e   z2 = c + di
il loro prodotto
z = z1 ⋅ z2
è un numero complesso
z = z1 ⋅ z2 = (a + bi) ⋅ (c + di) =
=ac + adi + bci + bdi2 =
=ac + (ad + bc)i - bd =
=(ac - bd) + (ad + bc)iavente parte reale (ac - bd) e parte immaginaria ad + bc. Cioè:
Re(z1 ⋅ z2) = ac - bd;   Im(z1 ⋅ z2) = ad + bc
Esempio 1: Calcolare (3 + 2i) ⋅ (4 - 1i).
(3 + 2i) ⋅ (4 - 1i) = 3 ⋅ 4 - (3 ⋅ 1)i + (2 ⋅ 4)i - (2 ⋅ 1)i2 =
= 12 - 3i - 2i2 = 12 + 2 - 3i = 14 - 3iSe i numeri da moltiplicare hanno parte immaginaria nulla, cioè b=0 e d=0, si ritrova la “vecchia” moltiplicazione di numeri reali, infatti:
(a + 0i) ⋅ (c + 0i) = (ac - 0) + (0 + 0)i2 = ac
Esempio 2: Calcolare (5 + 0i) ⋅ (2 + 0i).
(5 + 0i) ⋅ (2 + 0i) = 10 + 0i + 0i + 0i2 = 10Il numero complesso 1 + 0i, identificabile con il numero reale 1 (perchè la parte immaginaria è nulla), è l'elemento neutro per la moltiplicazione. Infatti:
(a + bi) ⋅ (1 + 0i) = (a + bi)
Esempio 3: Calcolare (3 + 4i) ⋅ (1 + 0i).
(3 + 4i) ⋅ (1 + 0i) = 3 + 0i + 4i + 0i2 = 3 + 4iIl prodotto di un numero complesso per il suo coniugato è sempre un numero reale, infatti:
(a + bi) ⋅ (a - bi) = a2 - abi + abi - b2i2 = a2 + b2
Questa proprietà viene, di solito, indicata con la scrittura:
![]()
Esempio 4: Calcolare (2 + 3i) ⋅ (2 - 3i).
(2 + 3i) ⋅ (2 - 3i) = 4 - 6i + 6i - 9i2 = 4 + 9 = 13Il modulo di un prodotto è uguale al prodotto dei moduli.
|z ⋅ w| = |z| ⋅ |w|
Nel caso in cui z e w siano numeri reali la proprietà è evidente. Proviamola in generale. Posto
z = a + bi   e   w = c + di
si ha:
![]()
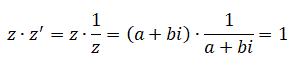
Nell'insieme C per ogni numero complesso z = a + bi con a e b non contemporaneamente nulli esiste sempre un unico numero z' tale che
z ⋅ z' = z' ⋅ z = 1
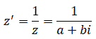
Il numero complesso z' prende il nome di inverso o reciproco del numero z e viene indicato con la scrittura
![]()
Infatti:
![]()
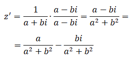
Il reciproco del numero complesso z = a + bi non nullo può essere scritto in forma algebrica applicando la proprietà invariantiva e moltiplicare numeratore e denominatore per il coniugato del denominatore.
![]()
Di solito il reciproco del numero complesso z viene indicato anche con la scrittura:
![]()
Esempio 5: Scrivere in forma algebrica il numero complesso
![]()
![]()
L'esistenza dei numeri complessi reciproci permette di trasformare l'operazione di divisione tra due numeri complessi in una moltiplicazione: il quoziente di due numeri complessi è uguale al prodotto del dividendo per il reciproco del divisore se quest'ultimo non è nullo. Pertanto anche per i numeri complessi si deve escludere la divisione per lo zero (0 + 0i).
![]()
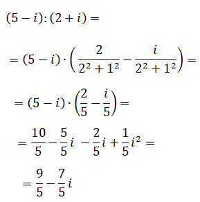
Esempio 6: Calcolare (5 - i) : (2 + i)
![]()
Vediamo, geometricamente, qual è l'effetto del prodotto di un numero complesso per l'unità immaginaria.
Se moltiplichiamo 1 per i otteniamo i e ciò equivale a ruotare di 90°, rispetto all’origine e in senso antiorario, il punto corrispondente al numero 1. Moltiplicando i per i otteniamo i2 e, di nuovo, ciò equivale a ruotare di 90° il punto corrispondente ad i.
![]()
Sarà sempre così? Moltiplicare un numero complesso z per i equivale sempre a ruotare di 90° il punto corrispondente a z?
Consideriamo nel piano di Gauss i due numeriz = a + bi   e   zi = ai + bi2 = -b + ai
![]()
I due triangoli rettangoli evidenziati in rosso sono uguali perché hanno i cateti rispettivamente uguali; quindi angoli corrispondenti sono uguali. Ne segue che l'angolo di rotazione è proprio uguale a 90°
![]()
E' facile verificare che le operazioni di addizione e moltiplicazione di numeri complessi godono, oltre alla chiusura, delle solite proprietà formali (proprietà associativa, commutativa e distributiva). Vale inoltre la legge di annullamento del prodotto. Ed è infine chiaro che operando nel sottoinsieme dei numeri complessi con parte immaginaria nulla (identificabile con 0i) ritroviamo le solite operazioni di addizione e moltiplicazione.