Indice
L'estensione del concetto di numero
Numeri complessi
Rappresentazione geometrica dei numeri complessi
Operazioni in C: addizioni e sottrazioni
Operazioni in C: moltiplicazioni e divisioni
Forma trigonometrica di un numero complesso
Operazioni tra numeri complessi in forma trigonometrica
Potenza di un numero complesso: teorema di De Moivre
Radici n-esime di un numero complesso
Radici n-esime complesse dell'unità
I numeri complessi in forma esponenziale
I numeri complessi e le formule di Eulero
Le equazioni di secondo grado in C
Le equazioni di terzo grado in C
Il teorema fondamentale dell'algebra
Fattorizzazione di un polinomio in R
Logaritmi nell'insieme dei numeri complessi
Le equazioni di secondo grado in C
Nell'insieme dei numeri reali equazioni del tipo
x2 = a
(con a < 0) non hanno soluzioni perchè non esistono radici quadrate algebriche reali di un numero negativo. Invece, operando nell'insieme dei numeri complessi le equazioni di questo tipo hanno sempre due soluzioni complesse coniugate che sono le due radici quadrate complesse:
![]()
Infatti:
![]()
In generale, nell'insieme dei numeri reali un'equazione di secondo grado
ax2 + bx + c = 0
ha:
due soluzioni reali distinte se il discriminante è maggiore di zero;
due soluzioni reali coincidenti se il discriminante è uguale a zero;
nessuna soluzione se il discriminante è minore di zero.
Di solito, invece di dire "due soluzioni reali coincidenti" si preferisce dire "una soluzione di molteplicità 2" e per convenzione ogni soluzione di una equazione viene contata un numero di volte pari al suo ordine di molteplicità.
Nell'insieme dei numeri complessi un'equazione di secondo grado a coefficienti reali (nell'insieme C l'incognita è, di solito, espressa con la lettera z)
az2 + bz + c = 0
ha sempre due radici complesse anche quando il discriminante è negativo. In particolare le due soluzioni sono:
numeri complessi reali distinti se il discriminante è maggiore di zero;
numeri complessi reali coincidenti (molteplicità 2) se il discriminante è uguale a zero;
numeri complessi coniugati se il discriminante è minore di zero.
Ad esempio, nell'insieme R l'equazione
2x2 + x + 1 = 0
non ha radici perchè ha il discriminante negativo. Invece se si scrive questa equazione nella forma
2z2 + z + 1 = 0
e viene risolta nell'insieme C ha due soluzioni complesse coniugate che si possono determinare con l'usuale formula risolutiva utilizzata in R:
![]()
Anche tutte le equazioni di secondo grado che hanno coefficienti complessi si risolvono applicando la stessa formula risolutiva di un'equazione di secondo grado in R.
Esempio 1: Risolviamo l'equazione z2 - 3iz + 4 = 0.
Applicando la formula si ha:
![]()
Esempio 2: Risolviamo l'equazione z2 - (2-2i)z -1 -2i = 0.
Applicando la formula si ha:
![]()
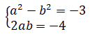
Esempio 3: Risolviamo l'equazione z2 + 5z + 7 + i = 0.
Applicando la formula si ha:
![]()
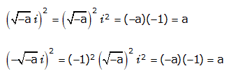
Per proseguire dobbiamo determinare le due radici quadrate di -3-4i. Dobbiamo quindi determinare il numero complesso w=a+bi tale che:
w2 = a2 - b2 + 2abi = -3 - 4i
Cioè
![]()
e l'equazione risolvente del sistema è:
a4 + 3a2 - 4 = 0
che si fattorizza in:
(a2 - 1)(a2 + 4) = 0
Essendo a un numero reale le due soluzioni sono a = -1 e a = 1. Da cui si ottiene b = 2 e b = -2. Pertanto le due soluzioni della radice quadrata complessa di -3 - 4i sono -1 + 2i e 1 - 2i. Sostituendo si ottiene:
![]()
Le due questioni:
a) Trovare le radici di una equazione;
b) Scomporre in fattori irriducibili un polinomio.
sono strettamente legate tra loro infatti le radici di un'equazione p(x)=0 sono anche gli zeri del polinomio p(x) e viceversa. Il fatto che una generica equazione di secondo grado ha sempre due radici nell'insieme C implica che nell’insieme dei numeri complessi possiamo scomporre in fattori lineari qualsiasi trinomio di secondo grado. Ad esempio dato il polinomio
p(z) = az2 + bz + c
E' sempre possibile ottenere:
p(z) = a(z - z1)(z - z1)
dove z1 e z2 sono le radici reali (eventualmente coincidenti) o complesse coniugate dell'equazione p(x)=0.