Indice
L'estensione del concetto di numero
Numeri complessi
Rappresentazione geometrica dei numeri complessi
Operazioni in C: addizioni e sottrazioni
Operazioni in C: moltiplicazioni e divisioni
Forma trigonometrica di un numero complesso
Operazioni tra numeri complessi in forma trigonometrica
Potenza di un numero complesso: teorema di De Moivre
Radici n-esime di un numero complesso
Radici n-esime complesse dell'unità
I numeri complessi in forma esponenziale
I numeri complessi e le formule di Eulero
Le equazioni di secondo grado in C
Le equazioni di terzo grado in C
Il teorema fondamentale dell'algebra
Fattorizzazione di un polinomio in R
Logaritmi nell'insieme dei numeri complessi
Le equazioni di terzo grado in C
Nell'insieme dei numeri reali le equazioni di terzo grado:
ax3 + bx2 + cx + d = 0
hanno sempre una sola soluzione oppure hanno tre soluzioni (distinte o eventualmente coincidenti). Se x1 è l'unica soluzione di una generica equazione di terzo grado si ha:
(x - x1)(ax2 + b1x + c1) = 0
e per la legge dell'annullamento del prodotto possiamo scrivere:
(x - x1) = 0 ∨ (a + b1x + c1) = 0
dove l'equazione di secondo grado ha necessariamente il discriminante minore di zero e quindi non ammette soluzioni. Ad esempio l'equazione
x3 - 6x2 + 13x - 10 = 0
avendo come unica soluzione x = 2 la possiamo scrivere:
(x - 2)(x2 - 4x + 5) = 0
Cioè
x - 2 = 0 ∨ x2 - 4x + 5 = 0
e l'equazione di secondo grado non ha soluzioni nell'insieme dei numeri reali avendo il discriminate negativo.
Nell'insieme dei numeri complessi un'equazione di terzo grado a coefficienti reali
az3 + bz2 + cz + d = 0
ha sempre tre soluzioni: almeno una radice è sempre reale e le altre due possono essere reali o complesse conigate.
Ad esempio l'equazione precedente x3 - 6x2 + 13x - 10 = 0 nell'insieme dei numeri complessi:z3 - 6z2 + 13z - 10 = 0
continua ad avere per radice z = 2:
(z - 2)(z2 - 4z + 5) = 0
ma in più l'equazione di secondo grado
z2 - 4z + 5 = 0
ammette due soluzioni complesse coniugate che si possono ottenere con la solita formula risolutiva delle equazioni di secondo grado:
(z - 2 + i)(z - 2 - i) = 0
Pertanto le tre soluzioni sono una reale complessa e due complesse coniugate:
z3 - 6z2 + 13z - 10 = 0 → z1 = 2; z2 = - 2 + i; z3 = - 2 - i
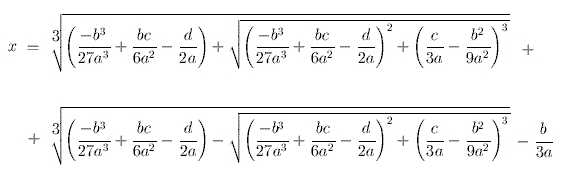
La conferma che un'equazione di terzo grado abbia in C esattamente tre soluzione avvenne nel XVI secolo dagli algebristi italiani Niccolò Tartaglia, Gerolamo Cardano e Rafael Bombelli che scoprirono la formula risolutiva di qualsiasi equazione di terzo grado in funzione dei coefficienti a, b, c, d.
![]()
A Bombelli si deve attribuire il merito di aver introdotto i numeri immaginari e i numeri complessi che chiamò quantità silvestri. Egli sapeva che una soluzione dell'equazione di terzo grado
x3 - 15x - 4 = 0
è x = 4 infatti:
43 - 15 ⋅ 4 - 4 = 0
ma applicando la formula risolutiva di una generica equazione di terzo grado otteneva un risultato diverso e irriducibile costituito dalla somma di due radicali doppi con radicando negativo:
![]()
Per superare questo ostacolo utilizzò un artificio indicando le quantità √-1 e -√-1 con i termini più di meno e meno di meno scrivendole con le abbreviazione pdm e mdm. In altre palore, Bombelli indicò con pdm il numero che oggi chiamiamo unità immaginaria i e con mdm il suo opposto -i. Inoltre, stabilì anche le regole di calcolo per queste nuove quantità:
![]()
Con queste regole e con la formula del cubo di un binomio trovò che:
![]()
E quindi potè scrivere:
![]()
Trovando in questo modo la soluzione che conosceva.
Nell'insieme dei numeri reali un polinomio di terzo grado ha almeno uno zero reale k e quindi si fattorizza nel prodotto
(x - k)q(x)
dove q(x) è un polinomio di secondo grado (che può essere o non essere riducibile).
Nell'insieme dei numeri complessi un polinomio di terzo grado ha sempre tre zeri reali oppure uno reale e due complessi coniugati e quindi è sempre scomponibile in tre fattori lineari.