Indice
L'estensione del concetto di numero
Numeri complessi
Rappresentazione geometrica dei numeri complessi
Operazioni in C: addizioni e sottrazioni
Operazioni in C: moltiplicazioni e divisioni
Forma trigonometrica di un numero complesso
Operazioni tra numeri complessi in forma trigonometrica
Potenza di un numero complesso: teorema di De Moivre
Radici n-esime di un numero complesso
Radici n-esime complesse dell'unità
I numeri complessi in forma esponenziale
I numeri complessi e le formule di Eulero
Le equazioni di secondo grado in C
Le equazioni di terzo grado in C
Il teorema fondamentale dell'algebra
Fattorizzazione di un polinomio in R
Logaritmi nell'insieme dei numeri complessi
Forma trigonometrica di un numero complesso
Consideriamo nel piano di Gauss un numero complesso z = a + bi, la sua immagine P(a, b), il segmento OP, l'angolo Θ che il segmento OP forma con la direzione positiva dell'asse reale e indichiamo con r il modulo di z cioè la lunghezza del segmento OP.
![]()
Possiamo esprimere a e b in funzione di r e di Θ:
a = rcos Θ   b = rsin Θ
Pertanto il numero complesso z = a + bi può essere scritto anche nella forma:
z = rcos Θ + irsin Θ = r(cos Θ + isin Θ)
(con r ≥ 0 e 0 ≤ Θ ≤ 2Π) detta forma trigonometrica del numero complesso. Nella forma trigonometrica ogni numero complesso z viene, quindi, individuato dal modulo di z (indicato con r) e dall'angolo Θ detto argomento del numero complesso indicato con la notazione:
arg(z)
L'angolo Θ viene espresso in radianti e non è definito quando z=0 mentre per z≠0 è determinato a meno di multipli di 2Π. Pertanto, due numeri complessi espressi in forma trigonometrica sono uguali se hanno moduli uguali e argomenti uguali, a meno di un multiplo intero di 2Π (perchè le funzioni seno e coseno sono periodiche con periodo 2Π). Inoltre, dalla forma trigonometrica dei numeri complessi si deduce che:
numeri complessi con ugual modulo stanno sulla stessa circonferenza con centro nell'origine O del piano di Gauss. Ad esempio:
![]()
![]()
numeri complessi con argomento uguale (a meno di multipli interi di 2Π) stanno sulla stessa semiretta avente origine in O. Ad esempio:
![]()
![]()
due numeri complessi coniugati hanno lo stesso modulo ma argomenti opposti. Ad esempio:
![]()
![]()
Essendo:
cos (-Θ) = cos Θ e sin (-Θ) = -sin Θ
Si ha:
![]()
Vediamo come è possibile passare dalla forma algebrica alla forma trigonometrica e viceversa utilizzando le seguenti formule:
![]()
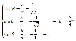
Esempio 1: Scriviamo il numero complesso z = 1 - i in forma trigonometrica.
Rappresentiamo nel piano di Gauss il numero complesso z:
![]()
Come si vede l'immagine di z appartiene al quarto quadrante e quindi l'angolo Θ devrà essere:
![]()
Calcoliamo il modulo r:
![]()
Calcoliamo l'angolo Θ:
![]()
Pertanto la forma trigonometrica di z = 1 - i è
![]()
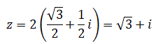
Esempio 2: Scriviamo il numero complesso
![]()
in forma algebrica.
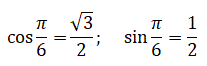
Calcoliamo il coseno e il seno
![]()
Pertanto la forma algebrica di z è:
![]()
Esempio 3: Scriviamo il numero complesso z = 2 + 0i in forma trigonometrica.
In questo caso, essendo nulla la parte immaginaria, z è un numero reale e la sua immagine nel piano di Gauss è sull'asse reale positivo a distanza 2 dall'origine e quindi il suo modulo è r = 2. Inoltre, l'angolo Θ devrà essere:Θ = 0 + 2Π
Per cui la forma trigonometrica z = 2 + 0i è:
z = 2(cos 0 + isin 0)
Infatti, essendo cos 0 = 1 e sin 0 = 0 possiamo scrivere l'uguaglianza:
z = 2(cos 0 + isin 0) = 2 + 0i = 2
Esempio 4: Scriviamo il numero complesso z = 0 + 3i in forma trigonometrica.
In questo caso, essendo nulla la parte reale, z è un numero immaginario puro e la sua immagine nel piano di Gauss è sull'asse immaginario positivo a distanza 3 dall'origine e quindi il suo modulo è r = 3. Inoltre, l'angolo Θ devrà essere:Θ = Π/2 + 2Π
Per cui la forma trigonometrica z = 0 + 3i è:
z = 3(cos Π/2 + isin Π/2)
Infatti, essendo cos Π/2 = 0 e sin Π/2 = 1 possiamo scrivere l'uguaglianza:
z = 3(cos Π/2 + isin Π/2) = 0 + 3i = 3i