Indice
L'estensione del concetto di numero
Numeri complessi
Rappresentazione geometrica dei numeri complessi
Operazioni in C: addizioni e sottrazioni
Operazioni in C: moltiplicazioni e divisioni
Forma trigonometrica di un numero complesso
Operazioni tra numeri complessi in forma trigonometrica
Potenza di un numero complesso: teorema di De Moivre
Radici n-esime di un numero complesso
Radici n-esime complesse dell'unità
I numeri complessi in forma esponenziale
I numeri complessi e le formule di Eulero
Le equazioni di secondo grado in C
Le equazioni di terzo grado in C
Il teorema fondamentale dell'algebra
Fattorizzazione di un polinomio in R
Logaritmi nell'insieme dei numeri complessi
Operazioni tra numeri complessi in forma trigonometrica
La forma trigonometrica permette sia di calcolare più agevolmente le operazioni di moltiplicazione e divisione tra numeri complessi sia di comprendere il significato geometrico di queste due operazioni. Infatti, dati due numeri complessi:
z1 = r1(cos Θ1 + isin Θ1) e z2 = r2(cos Θ2 + isin Θ2)
il loro prodotto
z = z1 ⋅ z2
è un numero complesso
![]()
che ha per modulo il prodotto dei moduli (r1r2) e per argomento la somma degli argomenti (Θ1+Θ2)
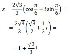
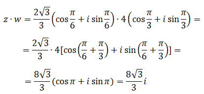
Esempio 1: Calcoliamo il prodotto tra i due numeri complessi:
![]()
Il loro prodotto z ⋅ w è il numero complesso
![]()
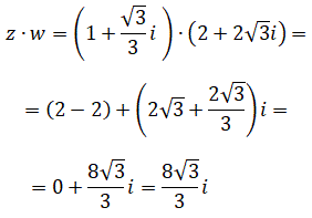
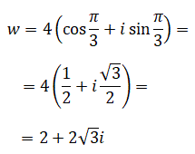
Per verifica si può vedere che si ottiene lo stesso risultato scrivendo prima i due numeri z e w in forma algebrica e poi effettuando il loro prodotto:
![]()
![]()
![]()
Per comprendere il significato geometrico del prodotto tra due numeri complessi consideriamo due semplici esempi:
Moltiplicazione di un numero complesso z con un numero complesso w di modulo 1:
Ad esempio, consideriamo i due numeri complessi:
![]()
Il loro prodotto z⋅w è un numero complesso che ha per modulo lo stesso modulo di z e per argomento la somma dei due argomenti:
![]()
Pertanto i due numeri complessi z e z⋅w avendo lo stesso modulo stanno sulla stessa circonferenza con centro nell'origine O del piano di Gauss e ciò significa che si possa dal punto z al punto z⋅w con una rotazione in senso antiorario e intorno all'origine con un angolo pari all'argomento di w. Nel nostro caso essendo l'argomento di w un angolo di 120° si passa da z a z⋅w con una rotazione di 120° in senso antiorario.
![]()
Moltiplicazione di un numero complesso z con un numero complesso w con argomento zero:
Ad esempio, consideriamo i due numeri complessi:
![]()
Il loro prodotto z⋅w è un numero complesso che ha per modulo il prodotto dei due moduli e per argomento lo stesso argomento di z:
![]()
Pertanto i due numeri complessi z e z⋅w avendo lo stesso argomento stanno sulla stessa semiretta avente origine in O del piano di Gauss e ciò significa che si possa dal punto z al punto z⋅w con una omotetia con un fattore uguale al modulo di w. Nel nostro caso essendo il modulo di w uguale a 3 si passa da z a z⋅w con un'omotetia di fattore 3.
![]()
In generale, moltiplicare il numero complesso z per il numero complesso w equivale ad applicare all'immagine di z una rotazione in senso antiorario e intorno all'origine di un angolo pari all'argomento di w e un'omotetia di un fattore uguale al modulo di w. Quindi la moltiplicazione equivale ad una roto-omotetia.
Consideriamo ora la divisione tra due numeri complessi.
Dati due numeri complessi:z1 = r1(cos Θ1 + isin Θ1) e z2 = r2(cos Θ2 + isin Θ2)
(se z2 ≠ 0) il loro quoziente
z = z1 : z2
è un numero complesso
![]()
che ha per modulo il rapporto dei moduli (r1/r2) e per argomento la differenza degli argomenti (Θ1-Θ2)
Esempio 2: Calcoliamo il quoziente tra i due numeri complessi:
![]()
Il loro quoziente è il numero complesso
![]()
Ricordando che l'operazione di divisione equivale alla moltiplicazione tra il dividendo e il reciproco del divisore si intuisce che l'interpretazine geometrica dell'operazione di divisione tra due numeri complessi z e w equivale ad applicare all'immagine di z una rotazione in senso orario e intorno all'origine di un angolo pari all'argomento di w e un'omotetia di un fattore uguale al reciproco del modulo di w. Quindi anche la divisione equivale ad una roto-omotetia.