Indice
L'estensione del concetto di numero
Numeri complessi
Rappresentazione geometrica dei numeri complessi
Operazioni in C: addizioni e sottrazioni
Operazioni in C: moltiplicazioni e divisioni
Forma trigonometrica di un numero complesso
Operazioni tra numeri complessi in forma trigonometrica
Potenza di un numero complesso: teorema di De Moivre
Radici n-esime di un numero complesso
Radici n-esime complesse dell'unità
I numeri complessi in forma esponenziale
I numeri complessi e le formule di Eulero
Le equazioni di secondo grado in C
Le equazioni di terzo grado in C
Il teorema fondamentale dell'algebra
Fattorizzazione di un polinomio in R
Logaritmi nell'insieme dei numeri complessi
Numeri complessi
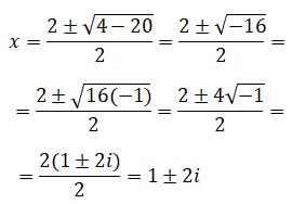
Vediamo come possiamo definire un nuovo insieme numerico che sia un'estensione dell'insieme dei numeri reali e contenga il simbolo i. Consideriamo l'equazione
x2 - 2x + 5 = 0
il cui discriminante è negativo Δ = - 4. Nell'insieme dei numeri reali questa equazione non ammette radici ma con l'introduzione dell'unità immaginaria possiamo scrivere:
![]()
e ottenere le due soluzioni
x1 = 1 + 2i   x2 = 1 - 2i
Ma quale significato numerico possiamo attribuire a queste due soluzioni che sono formate da un numero reale e da un numero immaginario? A questi nuovi tipi di numeri venne dato il nome di numeri complessi con la seguente definizione:
Chiameremo numero complesso ogni espressione formale del tipoa + bi
dove a e b sono numeri reali e i è l'unità immaginaria. I numeri reali a e b si dicono rispettivamente parte reale e parte immaginaria del numero complesso (il numero reale b viene anche detto coefficiente immaginario). L'insieme dei numeri complessi si denota con il simbolo C:
C = {a + bi | a, b ∈ R e i2 = -1}
Di solito, i numeri complessi si indicano con le ultime lettere minuscole dell'alfabeto; z, w, ...
Quando un numero complesso è scritto nella forma:z = a + bi
si dice che è espresso in forma algebrica e per indicare le parti reale e immaginaria di z si scrive:
Re(z) = a; Im(z) = b
Ad esempio, z = 2 - 3i è un numero complesso con parte reale 2 e parte immaginaria -3, cioè:
Re(z) = 2; Im(z) = -3
I numeri complessi della forma:
z = a + 0i
sono detti numeri complessi reali e sono semplicemente indicati con a e dunque potremo identificare l'insieme dei numeri reali col sottoinsieme dei numeri complessi che hanno parte immaginaria nulla. Ad esempio, z = -5 + 0i = -5.
Analogamente i numeri complessi della forma:z = 0 + bi
sono detti numeri immaginari puri e sono semplicemente indicati con bi. Ad esempio, z = 0 + 2i = 2i.
Così al posto diz = 0 + 1i
scriveremo semplicemente i. Ad esempio z = 0 + 1i = i.
Pertanto l'insieme dei numeri complessi include come sottoinsiemi sia l'insieme dei numeri reali sia l'insieme dei numeri immaginari puri.
![]()
Due numeri complessi
z = a + bi;   w = c + di
sono uguali z = w se hanno rispettivamente uguali le parti reali e le parti immaginarie se cioè si ha
a = c   e   b = d
Due numeri complessi
z = a + bi;   w = c + di
sono opposti z = -w se hanno rispettivamente opposte le parti reali e le parti immaginarie se cioè si ha
a = - c   e   b = -d
Ad esempio z = 4 + 3i e w = -4 - 3i
Due numeri complessi
z = a + bi;   w = c + di
sono coniugati se hanno la stessa parte reale e parte immaginaria opposta se cioè si ha
a = c   e   b = -d
Ad esempio z = 4 + 3i e w = 4 - 3i
Di solito, il coniugato del numero complesso z = a + bi viene indicato con il simbolo
![]()
Un numero reale è il coniugato di se stesso.
Ad esempio z = 5 + 0i e w = 5 - 0i sono coniugati e entrambi rappresentano il numero reale 5 ne segue che se un numero complesso z = a + bi è coniugato di se stesso allora è necessariamente un numero reale. Se infatti si ha
a + bi = a - bi
allora devono necessariamente essere uguali le parti immaginarie cioè deve essere b = -b (dove b รจ un numero reale). Ne segue b=0.