Indice
Introduzione
Vettori equipollenti e vettori opposti
Addizione di vettori
Addizione di più vettori
Sottrazione di vettori
Proprietà dell'addizione
Moltiplicazione di un vettore per un numero reale
Scomposizione di un vettore
Vettori nel piano cartesiano
Addizione di vettori nel piano cartesiano
Versori
Prodotto scalare di due vettori
Prodotto scalare nel piano cartesiano
Dimostrazioni geometriche con vettori
Traslazione
Equazioni di una traslazione
Vettori nel piano cartesiano
Quando si scompone un vettore lungo due prefissate direzione, conviene che le due rette scelte siano perpendicolari tra loro. In tal caso le due rette rappresentano gli assi x e y di un sistema di riferimento cartesiano e le componenti del vettore hanno la stessa direzione degli assi cartesiani. Nel piano cartesiano, dato un qualsiasi vettore potremo sempre considerarne uno equipollente e applicato nell'origine. Ad esempio, in figura dato il vettore b il vettore a è uguale al vettore b con la coda nell'origine.
![]()
In pratica, i vettori applicati nell'origine possono rappresentare qualsiasi vettore del piano. Consideriamo un vettore a con la coda nell'origine O degli assi e tracciamo le perpendicolari dalla punta del vettore agli assi cartesiani possiamo individuare i due vettori componenti ax e ay di a perpendicolari tra loro.
![]()
I vettori ax e ay sono le compomenti ortogonali del vettore a e la loro somma è uguale ad a:
ax + ay = a
Quando consideriamo i vettori nel piano cartesiano con la coda nell'origine degli assi, risulta più comodo utilizzare le componenti cartesiane ax e ay del vettore invece delle componenti vettoriali ax e ay. Le componenti cartesiane del vettore sono grandezze scalari e rappresentano le coordinate del punto del piano nel quale si trova la punta del vettore. In questo modo le componenti cartesiane hanno lo stesso modulo delle componenti vettoriali ma possono essere positive negative o nulle: sono entrambe positive se la punta del vettore è nel primo quadrante, entrambe negative se la punta del vettore è nel terzo quadrante, ax è negativo e ay è positivo se la punta del vettore è nel secondo quadrante, ax è positivo e ay è negativo se la punta del vettore è nel quarto quadrante. Ad esempio, nella seguente figura:
![]()
La componente cartesiana ax è uguale a +3, la componente cartesiana ay è uguale +2, le coordinate della punta del vettore a sono (ax, ay) cioè (3, 2) e la direzione del vettore a è individuata dall'angolo α che il vettore forma con il semi asse positivo delle ascisse. Inoltre, il vettore a e le componenti cartesiane formano un triangolo rettangolo dove l'ipotenusa è il vettore stesso e ax e ay sono i cateti.
Partendo da queste considerazioni possiamo facilmente calcolare:
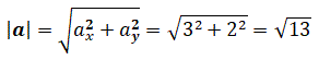
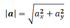
Il modulo del vettore conoscendo le componenti cartesiane.
Applicando il teorema di Pitagora si ha:
![]()
Nel nostro caso il valore del modulo è:
![]()
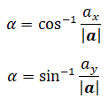
La direzione del vettore conoscendo le componenti cartesiane.
Applicando la trigonometria al triangolo rettangolo, (ricordiamo che il rapporto tra ax e il modulo di a rappresenta il seno dell'angolo α, il rapporto tra ay e il modulo di a rappresenta il coseno dell'angolo α, il rapporto tra il seno e il coseno dell'angolo α rappresenta la tangente dell'angolo α e l'inverso della tangente rappresenta l'angolo α), si ha:
![]()
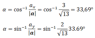
Nel nostro caso il valore di α è:
![]()
Il valore delle componenti conoscendo il modulo e la direzione del vettore.
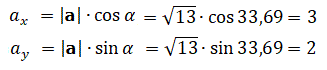
Applicando la trigonometria al triangolo rettangolo, (ricordiamo che il cateto orizzontale cioè, la componente ax, è uguale al prodotto dell'ipotenusa cioè, il modulo del vettore a, per il coseno dell'angolo adiacente e il cateto verticale cioè, la componente ay, è uguale al prodotto dell'ipotenusa cioè, il modulo del vettore a, per il seno dell'angolo opposto), si ha:
![]()
Nel nostro caso i valori di ax e ay sono:
![]()
La direzione del vettore conoscendo il modulo del vettore e una componente cartesiana.
Ricordiamo che l'inverso del coseno oppure l'inverso del seno rappresentano l'angolo α.
![]()
Nel nostro caso:
![]()