Indice
Introduzione
Vettori equipollenti e vettori opposti
Addizione di vettori
Addizione di più vettori
Sottrazione di vettori
Proprietà dell'addizione
Moltiplicazione di un vettore per un numero reale
Scomposizione di un vettore
Vettori nel piano cartesiano
Addizione di vettori nel piano cartesiano
Versori
Prodotto scalare di due vettori
Prodotto scalare nel piano cartesiano
Dimostrazioni geometriche con vettori
Traslazione
Equazioni di una traslazione
Dimostrazioni geometriche con vettori
Con le proprietà dei vettori e con le operazioni tra vettori è possibile dimostrare teoremi di geometria piana euclidea. Come vedremo queste dimostrazioni sono molto diverse dalle usuali dimostrazioni euclidee e in alcuni casi sono anche più semplici. Abbiamo già visto che le nozioni di lunghezza di un segmento, pependicolarità di due segmenti, parallelismo tra due segmenti e l'ampiezza di un angolo tra due segmenti possono essere descritte mediante il prodotto scalare tra due vettori. Vediamo allora alcune di queste dimostrazioni.
Teorema della disuguaglianza triangolare.
Nella geometria euclidea: in ogni triangolo, non degenere, ciascun lato è minore degli altri due e maggiore della loro differenza.
Questo teorema rappresenta la condizione necessaria e sufficiente per garantire l'esistenza di un triangolo.
Nella geometria dei vettori sono due le condizioni affinchè tre vettori formano un triangolo e ciò dipende da come sono orientati i tre vettori:
due vettori hanno un punto finale comune;
nessuno dei vettori ha un punto finale comune.
![]()
Nel primo caso uno dei vettori è uguale alla somma degli altri due nel secondo caso la somma risultante dei tre vettori è nulla.
Teorema di Pitagora.
Consideriamo tre vettori a, b e c tali da formare un triangolo rettangolo e sia il vettore c opposto all'angolo retto:
![]()
Come si vede si possono presentare due casi:
c = a + b
oppure
c = a - b
Per entrambi i casi consideriamo il quadrato dei due membri dell'uguaglianza e ciò equivale a calcolare il prodotto scalare tra vettori.
Primo caso
![]()
Secondo caso
![]()
In entrambi i casi si ottiene la relazione pitagorica.
Teorema del coseno.
Consideriamo tre vettori a, b e c tali da formare un triangolo non rettangolo e sia il vettore c opposto all'angolo α:
![]()
Possiamo scrivere:
c = a - b
Eleviamo al quadrato i due membri dell'uguaglianza:
![]()
Primo teorema di Euclide.
Ricordiamolo: in ogni triangolo rettangolo un cateto è medio proporzionale tra l'ipotenusa e la proiezione del cateto stesso sull'ipotenusa.
Pertanto, se a è il cateto, c l'ipotenusa, d la proiezione del cateto si ha:a2 = c ⋅ d
Consideriamo tre vettori a, b e c tali da formare un triangolo rettangolo e sia c opposto all'angolo retto, sia il vettore d la proiezione di a su c e sia il vettore e perpendicolare a c come si vede in figura. all'angolo α:
![]()
I vettori d e c sono collineari e quindi il loro prodotto scalare è:
d ⋅ c = |d||c|
Inoltre, come si vede dalla figura, si ha:
c = a + b;   d = a + e
Possiamo quindi scrivere:
|d||c| = (a + e)(a + b)
Cioè:
|d||c| = a2 + ab + e(a + b)
Ora, nel secondo membro dell'uguaglianza si ha:
ab = 0 (vettori ortogonali)
e(a + b) = e ⋅ c = 0 (vettori ortogonali)
E quindi si ottiene:
|d||c| = a2
cioè
a2 = c ⋅ d
Teorema di Talete sul semicerchio.
Ricordiamolo: un triangolo inscritto in una semicirconferenza, con lato coincidente con il diametro e il terzo vertice appartenente alla circonferenza stessa, è un triangolo rettangolo.
Sia a il vettore che unisce il centro della circonferenza con un estremo del diametro, sia -a il vettore che unisce il centro della circonferenza con l'altro estremo del diametro, sia b il vettore che unisce il centro della circonferenza con il terzo punto della circonferenza e siano c e d i due vettori che uniscono gli estremi del diametro con il terzo punto sulla circonferenza.
![]()
Per dimostrare il teorema bisogna mostrare che i vettori c e d siano perpendicolari e ciò si verifica se il loro prodotto scalare si annulla. Dalla figura si vede che:
c = b - (-a) = b + a
e
d = b - a
Possiamo allora scrivere:
c ⋅ d = (b + a)(b - a)
Sviluppando il secondo membro si ha:
c ⋅ d = b2 - b ⋅ a + a ⋅ b - a2
Semplificando si ottiene:
c ⋅ d = b2 - a2
Cioè
c ⋅ d = b - a = 0
perchè b = a essendo entrambi raggi della circonferenza.
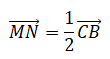
Teorema dei punti medi di un triangolo.
Ricordiamolo: il segmento che unisce i punti medi di due lati di un triangolo è uguale alla metà del terzo lato.
Sia ABC un triangolo costituito dai vettori:
![]()
e siano M e N rispettivamente i punti medi di BA e AC e indichiamo con a il vettore che ha la coda in M e la punta in A e con b il vettore che ha la coda in A e la punta in N.
![]()
Come si puù vedere dalla figura per costruzione si ha:
![]()
Inoltre, per la regola punta-coda si ha:
![]()
E quindi
![]()