Indice
Introduzione
Vettori equipollenti e vettori opposti
Addizione di vettori
Addizione di più vettori
Sottrazione di vettori
Proprietà dell'addizione
Moltiplicazione di un vettore per un numero reale
Scomposizione di un vettore
Vettori nel piano cartesiano
Addizione di vettori nel piano cartesiano
Versori
Prodotto scalare di due vettori
Prodotto scalare nel piano cartesiano
Dimostrazioni geometriche con vettori
Traslazione
Equazioni di una traslazione
Prodotto scalare nel piano cartesiano
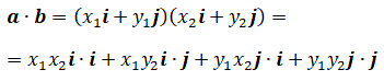
Consideriamo due vettori nel piano cartesiano identificati dalla loro combinazione lineare:
a = x1i + y1j   b = x2i + y2j
e calcoliamo il loro prodotto:
![]()
E essendo:
![]()
Si ha;
![]()
Il secondo menbro x1x2+y1y2 è un numero e quindi una grandezza scalare. Questo significa che il prodotto scalare di due vettori espresso mediante le loro combinazioni lineari è uguale alla somma dei prodotti delle loro componenti scalari. Ad esempio, il prodotto scalare dei vettori:
a = 3i + j   b = i + 2j
è
ab = 3 ⋅ 1 + 1 ⋅ 2 = 5
Le due formule che esprimono il prodotto scalare tra due vettori:
![]()
Sono entrambe valide come si può dimostrare. Considerando nel piano cartesiano i due vettori a e b e siano Θ1, Θ1 gli angoli che i vettori formano con il semiasse positivo delle x e sia α l'angolo compreso tra i due vettori:
![]()
Applicando le formule trigonometriche sul triangolo rettangolo possiamo scrivere:
![]()
E sostituendo si ottiene:
![]()
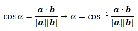
Utilizzando le due formule del prodotto scalare tra due vettori possiamo determinare l'angolo compreso tra i due vettori:
![]()
Ad esempio, Calcoliamo l'angolo compreso tra i due vettori:
a = 3i + j   b = i + 2j
![]()
Applicando la formula si ottiene:
![]()
![]()