Indice
Introduzione
Vettori equipollenti e vettori opposti
Addizione di vettori
Addizione di più vettori
Sottrazione di vettori
Proprietà dell'addizione
Moltiplicazione di un vettore per un numero reale
Scomposizione di un vettore
Vettori nel piano cartesiano
Addizione di vettori nel piano cartesiano
Versori
Prodotto scalare di due vettori
Prodotto scalare nel piano cartesiano
Dimostrazioni geometriche con vettori
Traslazione
Equazioni di una traslazione
Equazioni di una traslazione
Occupiamoci ora delle traslazioni nel piano cartesiano e vediamo come è possibile trovare una formula che consente di passare dalle coordinate (x, y) di un punto P alle coordinate (x', y') del punto P' ottenuto con una traslazione di vettore v. Questa formula rappresenta le equazioni di una traslazione.
Sia P(x, y) un punto qualsiasi del piano e P'(x',y') il punto corrispondente di P nella traslazione di vettore v di componenti a e b.
![]()
Osservando la figura possiamo facilmente renderci conto che le coordinate di P' (x', y') dipendono da quelle di P e dalle componenti del vettore v mediante le relazioni:
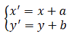
x' = x + a   y' = y + b
E quindi, le equazioni della traslazione di vettore v di componenti a e b sono:
![]()
Vediamo un esempio applicato ad una figura.
Sia ABC un triangolo di vertici A(-1, 2), B(-2, 1) e C(0, -1) determiniamo le coordinate dei vertici del triangolo A'B'C' ottenibile mediante la traslazione di vettore v di componenti (2, 1).
In questo caso le equazioni della traslazione sono:
![]()
E quindi le coordinate dei vertici di A'B'C' sono:
![]()
Ed ecco la rappresentazione grafica della traslazione:
![]()