Indice
Introduzione
Spazio campione ed eventi
Probabilità
Esempio di calcolo di probabilità
La legge empirica del caso
Probabilità in spazi campione infiniti
Probabilità dell'unione di eventi
Probabilità dell'evento complementare
Probabilità condizionata
Eventi indipendenti
Diagrammi ad abero
Teorema di Bayes
Passaggio all'evento contrario
Probabilità delle prove ripetute
Gioco equo
Gioco non equo
Probabilità dell'evento complementare
Dato un evento E si definisce un evento complementare o contrario di E, indicato con
l'evento che si verifica quando non si verifica E.
![]()
Ad esempio, nel lancio di due dadi qual è la probabilità che la somma delle facce non sia uguale 5?
Consideriamo la probabilità dell'evento E = la somma delle due facce dei dadi sia uguale 5.
![]()
Come si vede lo spazio campione ha 36 esiti possibili, mentre i casi favorevoli all'evento E sono 4 e sono le coppie;
(1, 4), (2, 3), (3, 2), (4,1)
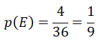
Pertanto, la probabilità dell'evento E è:
![]()
Per conoscere la probabilità complementare di E cioè la probabilità che la somma delle facce non sia uguale 5 ci sono due metodi:
1. Togliere dalla probabilità dell'evento certo (cioè la probabilità che la somma delle due facce sia 2, 3, 4, 5, 6, 7, 8, 9, 10, 11, 12) la probabilità dell'evento E:
![]()
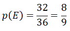
2. Trovare tutti i casi favorevoli e cioè che la somma delle due facce sia 2, 3, 4, 6, 7, 8, 9, 10, 11, 12 che sono 32 su 36 e quindi:
![]()
Come si vede il primo metodo è più semplice perchè la probabilità dell'evento certo è sempre uguale a 1.
Riassumendo: La probabilità dell'evento, contrario all'evento E, è il complemento a 1 della probabilità di E.
![]()
Quando il calcolo diretto della probabilità p(E) risulta troppo laborioso rispetto a quello di
si preferisce applicare la formula:
![]()
Ad esempio: se lancio tre volte un dado, qual è la probabilità che il numero 4 appaia almeno una volta?
Consideriamo gli eventi:
E1 = esce 4 al primo lancio e un numero qualsiasi al secondo e terzo lancio
E2 = esce 4 al secondo lancio e un numero qualsiasi al primo e terzo lancio
E3 = esce 4 al terzo lancio e un numero qualsiasi al primo e al secondo lancio
E = E1 + E2 + E3 = esce 4 almeno una volta lanciando tre volte un dado
![]()
E calcoliamo p(E) = p(E1 + E2 + E3):
p(E)=p(E1)+p(E2)+p(E3)-p(E1∩E2)-p(E2∩E3)-p(E3∩E1)+p(E1∩E2∩E3)
Cioè:
![]()
In alternativa possiamo calcolare dapprima
che ࢸ la probabilità che non venga 4 nè al primo nè al secondo nè al terzo lancio:
![]()
E poi:
![]()
Quando nell'enunciato E c'è la parola almeno è più vantagioso calcolare la probabilità p(E) con la formula:
![]()