Indice
Introduzione
Spazio campione ed eventi
Probabilità
Esempio di calcolo di probabilità
La legge empirica del caso
Probabilità in spazi campione infiniti
Probabilità dell'unione di eventi
Probabilità dell'evento complementare
Probabilità condizionata
Eventi indipendenti
Diagrammi ad abero
Teorema di Bayes
Passaggio all'evento contrario
Probabilità delle prove ripetute
Gioco equo
Gioco non equo
Gioco non equo
Quando si gioca al lotto o al superenalotto o al gratta e vinci o alla roulette o alla slot machines bisogna essere consapevoli che questi giochi aleatori non sono equi. Chi organizza questi giochi, che nel gergo viene chiamato banco, conosce molto bene il calcolo delle probabilità e nel stabilire la possibile vincita fa in modo che la speranza matematica del giocatore sia sempre negativa. In questo modo su un grande numero di giocate il banco si assicura un notevole guadagno tanto da coprire sia le spese sia un discreto profitto.
Vediamo nei dettagli alcuni di questi giochi aleatori non equi.
Roulette Francese.
La roulette francese è costituita da un disco, libero di ruotare, diviso in 37 settori numerati da 0 a 36 in un determinato ordine. I numeri da 1 a 36 sono colorati alternativamente in rosso e nero mentre lo zero è colorato di verde.
![]()
Non vi è interazione tra i giocatori, ognuno gioca contro il banco e le puntate di uno non influenzano quelle degli altri. Il gioco consiste nello scommettere su quale numero si fermerà la pallina lanciata dal croupier nel senso opposto alla rotazione della rouletta.
Si possono fare le seguenti giocate:
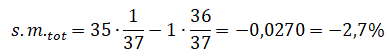
Pieno. Si punta sull'uscita di un singolo numero compreso lo zero.
![]()
Se si vince il banco paga 35 volte la posta e restituisce la puntata. La probabilità di vincere è 1/37 e quella di perdere è 36/37. Se ogni puntata del giocatore è di 1 € la speranza matematica totale è:
![]()
Questo significa che la giocata è favorevole per il banco il quale trattiene per sè in media il 2,70% della somma puntata dal giocatore.
Cavallo. Si punta su due numeri adiacenti, se uno dei due numeri scelti esce il banco paga 17 volte la posta e restituisce la puntata.
![]()
La probabilità di vincere è 2/37 e quella di perdere è 35/37. Se ogni puntata del giocatore è di 1 € la speranza matematica totale è:
![]()
Anche in questo caso il banco trattiene per sè il 2,70% della somma puntata dal giocatore.
Terzina. Si punta su tre numeri su una stessa riga, se uno dei tre numeri scelti esce il banco paga 11 volte la posta e restituisce la puntata.
![]()
La probabilità di vincere è 3/37 e quella di perdere è 34/37. Se ogni puntata del giocatore è di 1 € la speranza matematica totale è:
![]()
Anche in questo caso il banco trattiene per sè il 2,70% della somma puntata dal giocatore.
Quadrato. Si punta su quattro numeri disposti in quadrato, se uno dei quattro numeri scelti esce il banco paga 8 volte la posta e restituisce la puntata.
![]()
La probabilità di vincere è 4/37 e quella di perdere è 33/37. Se ogni puntata del giocatore è di 1 € la speranza matematica totale è:
![]()
Anche in questo caso il banco trattiene per sè il 2,70% della somma puntata dal giocatore.
Sestina. Si punta su sei numeri disposti in due file, se uno dei sei numeri scelti esce il banco paga 5 volte la posta e restituisce la puntata.
![]()
La probabilità di vincere è 6/37 e quella di perdere è 30/37. Se ogni puntata del giocatore è di 1 € la speranza matematica totale è:
![]()
Anche in questo caso il banco trattiene per sè il 2,70% della somma puntata dal giocatore.
Dozzina. Si punta su una delle tre dozzine (1-12, 13-24, 25-36), se uno dei dodici numeri scelti esce il banco paga 2 volte la posta e restituisce la puntata.
![]()
La probabilità di vincere è 12/37 e quella di perdere è 25/37. Se ogni puntata del giocatore è di 1 € la speranza matematica totale è:
![]()
Anche in questo caso il banco trattiene per sè il 2,70% della somma puntata dal giocatore.
Colonna. Si punta su una delle tre colonne ciascuna di 12 numeri, se uno dei dodici numeri scelti esce il banco paga 2 volte la posta e restituisce la puntata.
![]()
La probabilità di vincere è 12/37 e quella di perdere è 25/37. Se ogni puntata del giocatore è di 1 € la speranza matematica totale è:
![]()
Anche in questo caso il banco trattiene per sè il 2,70% della somma puntata dal giocatore.
Pari o dispari. Con pari si punta sui diciotti numeri pari mentre con dispari si punta sui diciotti numeri dispari, se uno dei diciotti numeri scelti esce il banco paga 1 volte la posta e restituisce la puntata. La probabilità di vincere è 18/37 e quella di perdere è 19/37. Se ogni puntata del giocatore è di 1 € la speranza matematica totale è:
![]()
Anche in questo caso il banco trattiene per sè il 2,70% della somma puntata dal giocatore.
Manque o Pass. Con Manque si punta primi diciotti numeri (1-18) mentre con Pass si punta sugli ultimi diciotti (19-36), se uno dei diciotti numeri scelti esce il banco paga 1 volte la posta e restituisce la puntata. La probabilità di vincere è 18/37 e quella di perdere è 19/37. Se ogni puntata del giocatore è di 1 € la speranza matematica totale è:
![]()
Anche in questo caso il banco trattiene per sè il 2,70% della somma puntata dal giocatore.
Rosso o Nero. Con Rosso si punta sui numeri colorati di rosso mentre con Nero si punta su quelli neri, se uno dei diciotti numeri scelti esce il banco paga 1 volte la posta e restituisce la puntata. La probabilità di vincere è 18/37 e quella di perdere è 19/37. Se ogni puntata del giocatore è di 1 € la speranza matematica totale è:
![]()
Anche in questo caso il banco trattiene per sè il 2,70% della somma puntata dal giocatore.
Gioco del Lotto.
Il gioco utilizza 11 differenti urne dette ruote denominate Bari, Cagliari, Firenze, Genova, Milano, Napoli, Palermo, Roma, Torino, Venezia e Nazionale. Ogni urna contiene 90 palline numerate da 1 a 90 e ad ogni estrazione, da ciascuna urna, vengono sorteggiati 5 numeri senza reimmissione nell'urna.
![]()
Il gioco consiste nello scommettere sui possibili numeri estratti sulle varie ruote. Si può scommettere su una ruota, su alcune ruote o su tutte le ruote puntando fino a un massimo di 10 numeri per ciascuna ruota o più ruote.
Si possono fare le seguenti giocate:
Ambata. Si punta sull'uscita di un singolo numero. Supponiamo, per semplicità, di giocare un solo numero puntato su una determinata ruota.
![]()
Se tra i cinque numeri estratti sulla ruota scelta c'è il numero scelto si vince e il banco paga 11,23 volte la posta. La probabilità di vincere è 5/90 (l'ordine di estrazione non conta) e quella di perdere è 85/90. Se ogni puntata del giocatore è di 1 € la speranza matematica totale è:
![]()
Il banco trattiene per sè in media il 32,05% della somma puntata dal giocatore.
Ambo. Si punta sull'uscita di una coppia di numeri. Supponiamo, per semplicità, di giocare due numeri puntati su una determinata ruota.
![]()
Se tra i cinque numeri estratti sulla ruota scelta ci sono i due numeri scelti si vince e il banco paga 250 volte la posta. La probabilità di vincere è 2/801 (l'ordine di estrazione non conta) e quella di perdere è 799/801. Se ogni puntata del giocatore è di 1 € la speranza matematica totale è:
![]()
Il banco trattiene per sè in media il 37,32% della somma puntata dal giocatore.
Terno. Si punta sull'uscita di una terna di numeri. Supponiamo, per semplicità, di giocare tre numeri puntato su una determinata ruota.
![]()
Se tra i cinque numeri estratti sulla ruota scelta ci sono i tre numeri scelti si vince e il banco paga 4500 volte la posta. La probabilità di vincere è 1/11748 (l'ordine di estrazione non conta) e quella di perdere è 11747/11748. Se ogni puntata del giocatore è di 1 € la speranza matematica totale è:
![]()
Il banco trattiene per sè in media il 61,68% della somma puntata dal giocatore.
Quaterna. Si punta sull'uscita di una quaterna di numeri. Supponiamo, per semplicità, di giocare quattro numeri puntati su una determinata ruota.
![]()
Se tra i cinque numeri estratti sulla ruota scelta ci sono i quattro numeri scelti si vince e il banco paga 120000 volte la posta. La probabilità di vincere è 1/511038 (l'ordine di estrazione non conta) e quella di perdere è 511037/511038. Se ogni puntata del giocatore è di 1 € la speranza matematica totale è:
![]()
Il banco trattiene per sè in media il 76,51% della somma puntata dal giocatore.
Cinquina. Si punta sull'uscita di una cinquina di numeri. Supponiamo, per semplicità, di giocare cinque numeri puntati su una determinata ruota.
![]()
Se i cinque numeri estratti sulla ruota scelta sono i cinque numeri scelti si vince e il banco paga 6000000 volte la posta. La probabilità di vincere è 1/43949268 e quella di perdere è 43949267/43949268. Se ogni puntata del giocatore è di 1 € la speranza matematica totale è:
![]()
Il banco trattiene per sè in media il 86,34% della somma puntata dal giocatore.